Poslední aktualizace :
18/03/2026
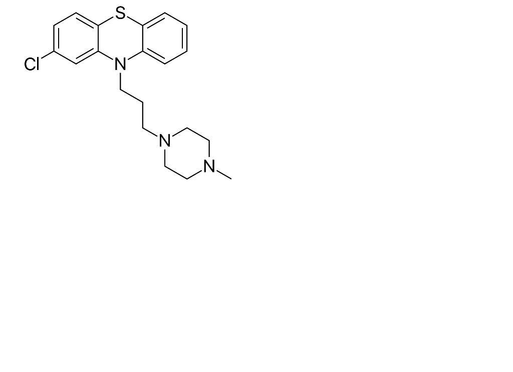
Antiemetikas   Prochlorperazine edysilate  
Lašai į nosį
Įpurškimas
Stabilumas farmacinių preparatų Mišinių stabilumas Stabilumą lemiantys veiksniai Suderinamumas Bibliografija pdf
   Cheminė sandara  

Lašai į nosį
Suderinamumas   Lašai į nosį   Suderinamumas : Prochlorperazine edysilate              
Nėra duomenų

  Mentions Légales