Siste oppdatering :
18/03/2026
Antiemetika   Prochlorperazine edysilate  
Nesedråper
Injeksjon
Stabilitet av farmasøytiske preparater Stabilitet i blandinger Faktorer som påvirker stabiliteten Kompatibilitet Referanser pdf
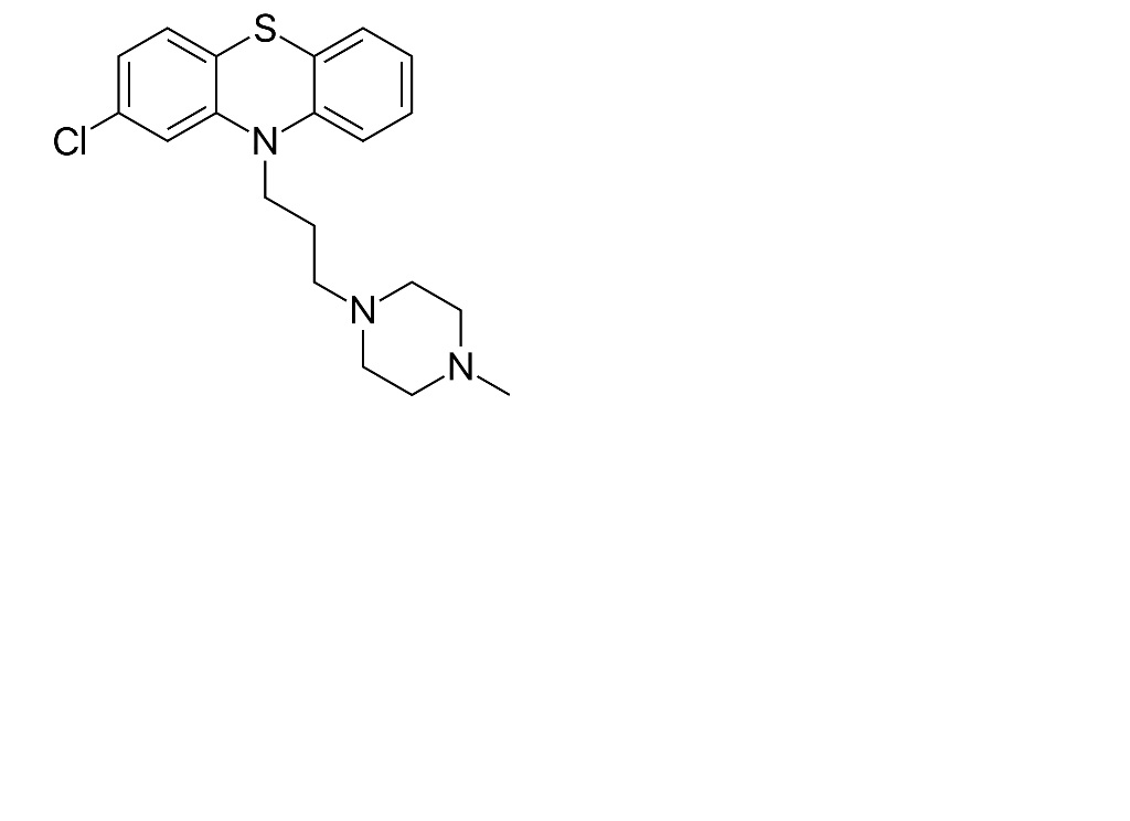
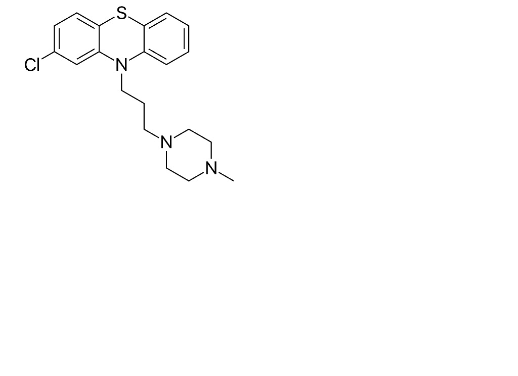
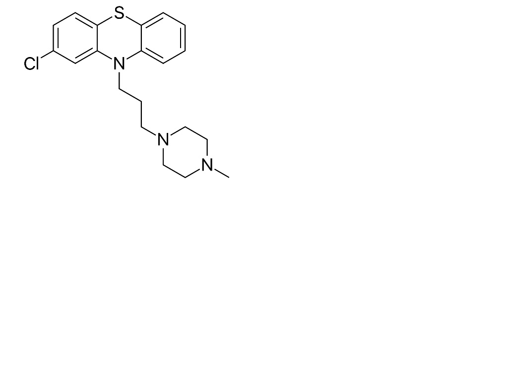
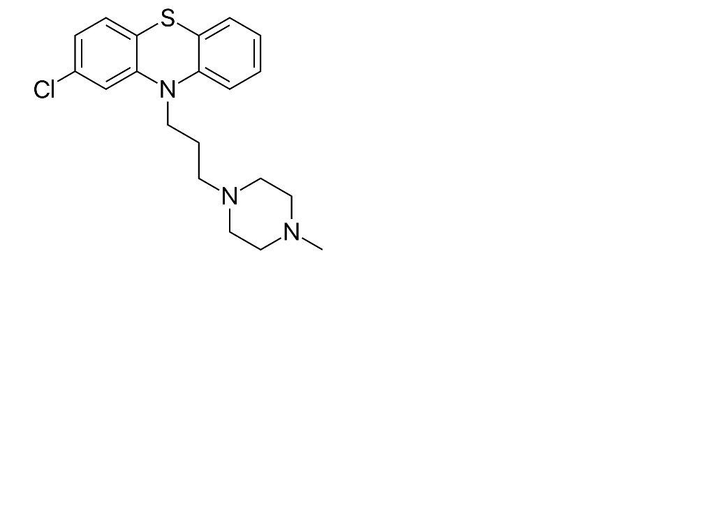
   Kjemisk struktur  

Nesedråper
Kompatibilitet   Nesedråper   Kompatibilitet : Prochlorperazine edysilate              
Ingen opplysninger

  Mentions Légales