zadnja posodobitev :
18/03/2026
Antiemetik   Prochlorperazine edysilate  
Kapljice za nos
Brizgalka
Stabilnost farmacevtskih preparatov Stabilnost mešanice Faktorji, ki vplivajo na stabilnost Kompatibilnost Viri pdf
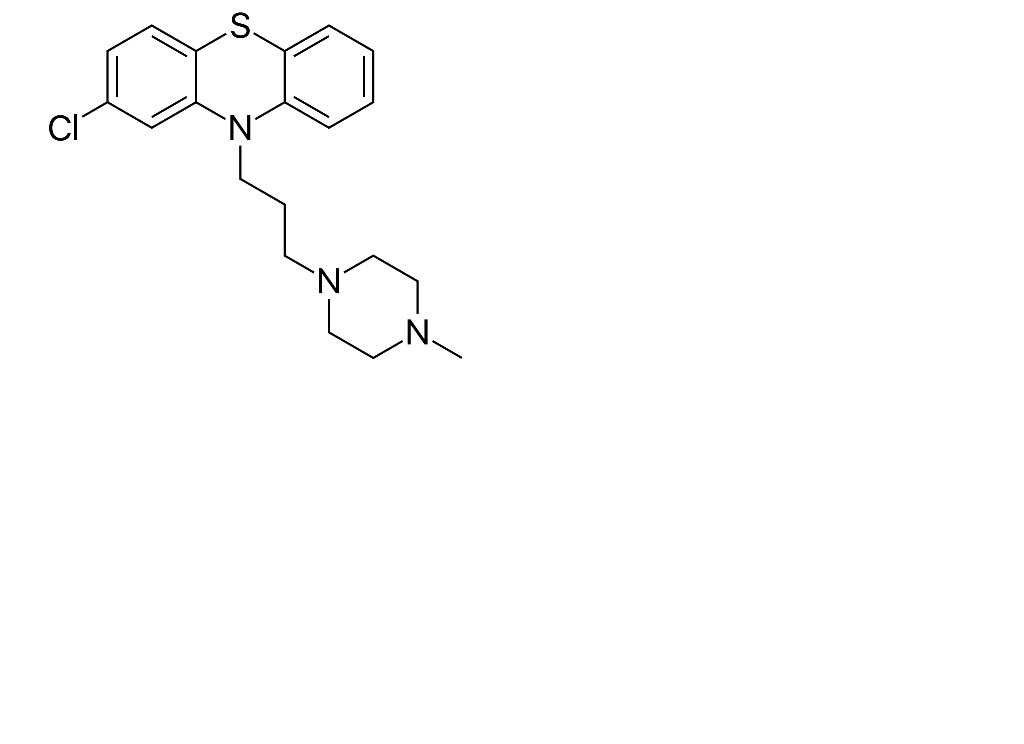
   Kemična formula  

Kapljice za nos
Kompatibilnost   Kapljice za nos   Kompatibilnost : Prochlorperazine edysilate              
ni podatka

  Mentions Légales