Последнее обновление :
27/11/2025
Антибиотик   Colistin sulfate  
Раствор для перорального приёма
Стабильность фармацевтических препаратов Стабильность смесей Факторы, которые влияют на стабильность Совместимость Библиография pdf
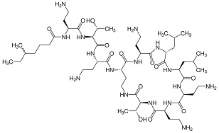
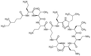
   Химическая структура  

Раствор для перорального приёма
Стабильность смесей   Раствор для перорального приёма   Стабильность смесей : Colistin sulfate     
Упаковка Наполнитель Молекула Температура Хранение Продолжительность стабильности Ссылки
Пластиковая бутылка
Метилпарабен 9,5 mg
Пропилпарабен 3 mg
Бензоат натрия 10 mg
Метабисульфит натрия 7,5 mg
Фосфат натрия 132,8 mg
KCl 29,4 mg
Na2HPO4 52, mg
Очищенная вода >> 10 ml
Ampho-Moronal® 5 ml
Раствор для перорального приёма   Colistin sulfate Порошок118 mg  ® = ?
Раствор для перорального приёма   Amphotericin B Порошок500 mg  ® = ?
Раствор для перорального приёма   Tobramycin sulfate Порошок121,75 mg  ® = ?
2-8°C
180 День
Защищён от света 3685

  Mentions Légales