Pēdējā atjaunošana :
18/03/2026
Antibiotika   Colistin sulfate  
Orāls šķīdums
Stabilitāte farmaceitisko preparātu Maisījuma stabilitāte Stabilitāti ietekmējoši faktori Saderība Literatūras saraksts pdf
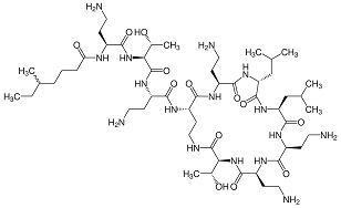
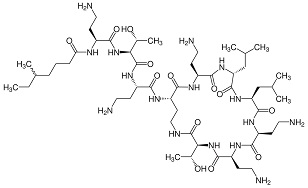
   Ķīmiskā uzbūve   

Orāls šķīdums
Maisījuma stabilitāte   Orāls šķīdums   Maisījuma stabilitāte : Colistin sulfate     
Iepakojums Palīgviela Savienojums Temperatūra Glabāšana Stabilitātes ilgums Literatūras saraksts
Plastmasas pudele
Metilparabēns 9,5 mg
Propilparabēns 3 mg
Nātrija benzoāts 10 mg
Nātrija metabisulfīts 7,5 mg
Nātrija fosfāts 132,8 mg
KCl 29,4 mg
Na2HPO4 52, mg
Attīrīts ūdens >> 10 ml
Ampho-Moronal® 5 ml
Orāls šķīdums   Colistin sulfate Pūderis118 mg  ® = ?
Orāls šķīdums   Amphotericin B Pūderis500 mg  ® = ?
Orāls šķīdums   Tobramycin sulfate Pūderis121,75 mg  ® = ?
2-8°C
180 Diena
Aizsargāt no gaismas 3685

  Mentions Légales