zadnja posodobitev :
18/03/2026
Antibiotik   Colistin sulfate  
Peroralna raztopina
Stabilnost farmacevtskih preparatov Stabilnost mešanice Faktorji, ki vplivajo na stabilnost Kompatibilnost Viri pdf
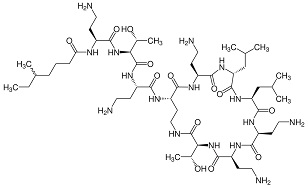
   Kemična formula  

Peroralna raztopina
Stabilnost mešanice   Peroralna raztopina   Stabilnost mešanice : Colistin sulfate     
Vsebnik Ekscipient Sestava Temperatura Shranjevanje Trajanje stabilnosti Viri
Plastenka
Metilparaben 9,5 mg
Propilparaben 3 mg
Natrijev benzoat 10 mg
Natrijev metabisulfit 7,5 mg
Natrijev fosfat 132,8 mg
KCl 29,4 mg
Na2HPO4 52, mg
Prečiščena voda >> 10 ml
Ampho-Moronal® 5 ml
Peroralna raztopina   Colistin sulfate Prašek118 mg  ® = ?
Peroralna raztopina   Amphotericin B Prašek500 mg  ® = ?
Peroralna raztopina   Tobramycin sulfate Prašek121,75 mg  ® = ?
2-8°C
180 Dan
Zaščiteno pred svetlobo 3685

  Mentions Légales