Letztes “update” :
18/03/2026
Antibiotikum   Colistin sulfate  
Lösung zum Einnehmen
Stabilität von pharmazeutischen Präparaten Gemengestabilität Stabilitätbeeinflussende Faktoren Kompatibilitäten Literaturverzeichnis pdf
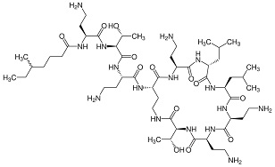
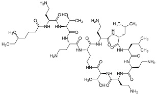
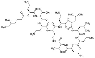
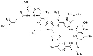
   Chemische Struktur  

Lösung zum Einnehmen
Gemengestabilität   Lösung zum Einnehmen   Gemengestabilität : Colistin sulfate     
Behälter Hilfsstoff Molekül Temperatur Konservierung Dauer der Stabilität Literaturverzeichnis
Plastikflasche
Methylparaben 9,5 mg
Propylparaben 3 mg
Natriumbenzoat 10 mg
Natriummetabisulfit 7,5 mg
Natriumphosphat 132,8 mg
KCl 29,4 mg
Na2HPO4 52, mg
Gereinigtes Wasser >> 10 ml
Ampho-Moronal® 5 ml
Lösung zum Einnehmen   Colistin sulfate Pulver118 mg  ® = ?
Lösung zum Einnehmen   Amphotericin B Pulver500 mg  ® = ?
Lösung zum Einnehmen   Tobramycin sulfate Pulver121,75 mg  ® = ?
2-8°C
180 Tag
Ohne Licht 3685

  Mentions Légales