Dernière mise à jour :
18/03/2026
Antibiotique   Colistin sulfate  
Solution buvable
Stabilité des préparations Stabilité en mélange Facteur influençant la stabilité Compatibilités Bibliographie pdf
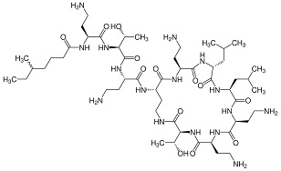
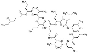
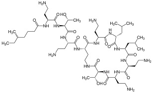
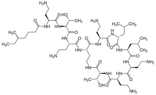
   Structure chimique  

Solution buvable
Stabilité en mélange   Solution buvable   Stabilité en mélange : Colistin sulfate     
Contenant Excipient Molécule Température Conservation Durée de stabilité Bibliographie
Flacon plastique
POH benzoate de methyle 9,5 mg
POH benzoate de propyle 3 mg
Benzoate de sodium 10 mg
Métabisulfite de sodium 7,5 mg
NaHPO4 132,8 mg
KCl 29,4 mg
Na2HPO4 52, mg
Eau purifiée >> 10 ml
Ampho-Moronal® 5 ml
Solution buvable   Colistin sulfate Poudre118 mg  ® = ?
Solution buvable   Amphotericin B Poudre500 mg  ® = ?
Solution buvable   Tobramycin sulfate Poudre121,75 mg  ® = ?
2-8°C
180 Jour
A l’abri de la lumière 3685

  Mentions Légales