Zadnji put ažurirano :
18/03/2026
antibiotik   Colistin sulfate  
oralna otopina
Stabilnost farmaceutskih pripravaka Stabilnost mješavine Stabilizacijski faktor Kompatibilnosti Bibliografija pdf
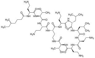
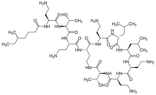
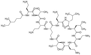
   Kemijska struktura  

oralna otopina
Stabilnost mješavine   oralna otopina     Stabilnost mješavine : Colistin sulfate     
Kontejner pomoćna tvar molekula temperatura Konzerviranje Trajanje stabilnosti Bibliografija
plastična boca
Metilparaben 9,5 mg
Propilparaben 3 mg
natrij benzoat 10 mg
Natrijev metabisulfit 7,5 mg
Natrijev fosfat 132,8 mg
KCl 29,4 mg
Na2HPO4 52, mg
pročišćena voda >> 10 ml
Ampho-Moronal® 5 ml
oralna otopina    Colistin sulfate prašak118 mg  ® = ?
oralna otopina    Amphotericin B prašak500 mg  ® = ?
oralna otopina    Tobramycin sulfate prašak121,75 mg  ® = ?
2-8°C
180 dan
Zaštićeno od svjetlosti 3685

  Mentions Légales