Laatste update :
18/03/2026
Antibioticum   Colistin sulfate  
Orale Oplossing
Stabiliteit van farmaceutische preparaten Stabiliteit in mengsels Factoren die de stabiliteit beïnvloeden Verenigbaarheden Literatuur pdf
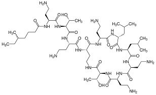
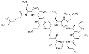
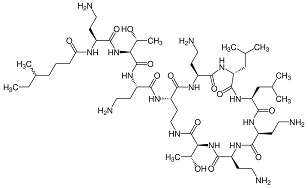
   Molecuulstructuur  

Orale Oplossing
Stabiliteit in mengsels   Orale Oplossing   Stabiliteit in mengsels : Colistin sulfate     
Verpakking  ikˈsipēənt hulpstof Stof Temperatuur Bewaring Duur van de stabiliteit Literatuur
plastic fles
methylparaben 9,5 mg
propylparabeen 3 mg
natriumbenzoaat 10 mg
Natriummetabisulfiet 7,5 mg
Natriumfosfaat 132,8 mg
KCl 29,4 mg
Na2HPO4 52, mg
gezuiverd water >> 10 ml
Ampho-Moronal® 5 ml
Orale Oplossing   Colistin sulfate poeder118 mg  ® = ?
Orale Oplossing   Amphotericin B poeder500 mg  ® = ?
Orale Oplossing   Tobramycin sulfate poeder121,75 mg  ® = ?
2-8°C
180 Dag
Buiten invloed van licht 3685

  Mentions Légales