Cập nhật lần cuối :
18/03/2026
Kháng sinh   Colistin sulfate  
Dung dịch uống
Tính ổn định của các chế phẩm Độ ổn định khi trộn lẫn Những yếu tố ảnh hưởng đến độ ổn định Khả năng tương thích Tài liệu tham khảo Pdf
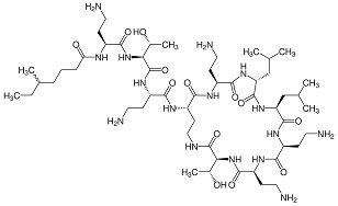
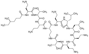
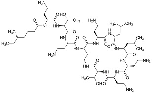
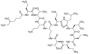
   Cấu trúc hóa học  

Dung dịch uống
Độ ổn định khi trộn lẫn   Dung dịch uống   Độ ổn định khi trộn lẫn : Colistin sulfate     
Bao bì Tá dược Phân tử Nhiệt độ Bảo quản Thời gian ổn định Mục lục
Lọ nhựa
Methyl benzoat POH 9,5 mg
Propyl benzoat POH 3 mg
Natri benzoat 10 mg
Natri metabisulfit 7,5 mg
Natri phosphat 132,8 mg
KCl 29,4 mg
Na2HPO4 52, mg
Nước tinh khiết >> 10 ml
Ampho-Moronal® 5 ml
Dung dịch uống   Colistin sulfate Bột118 mg  ® = ?
Dung dịch uống   Amphotericin B Bột500 mg  ® = ?
Dung dịch uống   Tobramycin sulfate Bột121,75 mg  ® = ?
2-8°C
180 Ngày
Tránh ánh sáng 3685

  Mentions Légales