Última actualización :
18/03/2026
Antibiótico   Colistin sulfate  
Solución Oral
La estabilidad de las preparaciones farmacéuticas Estabilidad en mezcla Factores que influyen sobre la estabilidad Compatibilidades Bibliografía pdf
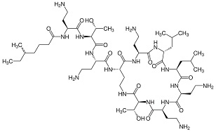
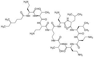
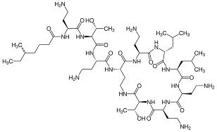
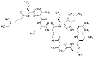
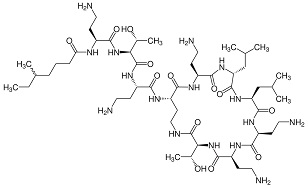
   Estructura química  

Solución Oral
Estabilidad en mezcla   Solución Oral   Estabilidad en mezcla : Colistin sulfate     
Envase Excipiente Molécula Temperatura Conservación Duración de la estabilidad Bibliografía
Botella de plástico
Metilparabeno 9,5 mg
Propilparabeno 3 mg
Benzoato de sodio 10 mg
Metabisulfito de sodio 7,5 mg
Fosfato de sodio 132,8 mg
KCl 29,4 mg
Na2HPO4 52, mg
Agua purificada >> 10 ml
Ampho-Moronal® 5 ml
Solución Oral   Colistin sulfate Polvo118 mg  ® = ?
Solución Oral   Amphotericin B Polvo500 mg  ® = ?
Solución Oral   Tobramycin sulfate Polvo121,75 mg  ® = ?
2-8°C
180 Día
A cubierto de la luz 3685

  Mentions Légales