Last update :
18/03/2026
Antibiotic   Colistin sulfate  
Oral solution
Stability of pharmaceutical preparations Stability of mixtures Factors which affect stability Compatibility References pdf
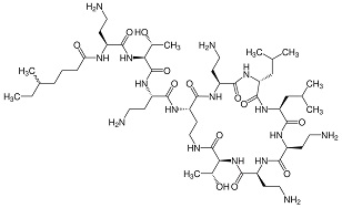
   Chemical structure  

Oral solution
Stability of mixtures   Oral solution   Stability of mixtures : Colistin sulfate     
Container excipient Compound Temperature Storage Duration of stability References
plastic bottle
methylparaben 9,5 mg
Propylparaben 3 mg
Sodium benzoate 10 mg
Sodium metabisulfite 7,5 mg
Sodium phosphate 132,8 mg
KCl 29,4 mg
Na2HPO4 52, mg
Purified water >> 10 ml
Ampho-Moronal® 5 ml
Oral solution   Colistin sulfate powder118 mg  ® = ?
Oral solution   Amphotericin B powder500 mg  ® = ?
Oral solution   Tobramycin sulfate powder121,75 mg  ® = ?
2-8°C
180 Day
Protect from light 3685

  Mentions Légales