Viimeisin päivitys :
18/03/2026
Antibiootit   Colistin sulfate  
Oraaliliuos
Vakaus lääkevalmisteen Stabilius seoksissa Tekijät, jotka vaikuttavat stabiliuteen Yhteensopivuus Viitteet pdf
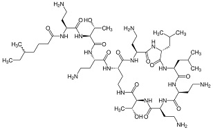
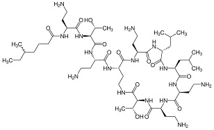
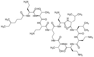
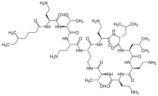
   Kemiallinen rakenne  

Oraaliliuos
Stabilius seoksissa   Oraaliliuos   Stabilius seoksissa : Colistin sulfate     
Astia Apuaine Yhdiste Lämpötila Säilytys Vakauden kesto Viitteet
Muovipullo
Metyyliparabeeni 9,5 mg
Propyyliparabeeni 3 mg
Natriumbentsoaatti 10 mg
Natriummetabisulfiitti 7,5 mg
Natriumfosfaatti 132,8 mg
KCl 29,4 mg
Na2HPO4 52, mg
Puhdistettu vesi >> 10 ml
Ampho-Moronal® 5 ml
Oraaliliuos   Colistin sulfate Jauhe118 mg  ® = ?
Oraaliliuos   Amphotericin B Jauhe500 mg  ® = ?
Oraaliliuos   Tobramycin sulfate Jauhe121,75 mg  ® = ?
2-8°C
180 Päivä
Suojattava valolta 3685

  Mentions Légales