Cập nhật lần cuối :
18/03/2026
Kháng sinh   Azithromycine  
Dạng bôi da
Dạng tiêm
Tính ổn định của các chế phẩm Độ ổn định khi trộn lẫn Những yếu tố ảnh hưởng đến độ ổn định Khả năng tương thích Tài liệu tham khảo Pdf
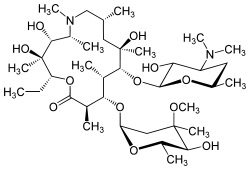
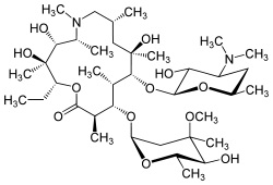
   Cấu trúc hóa học  

Dạng bôi da
Độ ổn định khi trộn lẫn   Dạng bôi da   Độ ổn định khi trộn lẫn : Azithromycine     
Không có dữ liệu

  Mentions Légales