Siste oppdatering :
18/03/2026
Antibiotika   Azithromycine  
Salver
Injeksjon
Stabilitet av farmasøytiske preparater Stabilitet i blandinger Faktorer som påvirker stabiliteten Kompatibilitet Referanser pdf
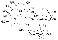
   Kjemisk struktur  

Salver
Stabilitet i blandinger   Salver   Stabilitet i blandinger : Azithromycine     
Ingen opplysninger

  Mentions Légales