zadnja posodobitev :
18/03/2026
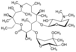
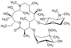
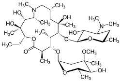
Antibiotik   Azithromycine  
Mazila
Brizgalka
Stabilnost farmacevtskih preparatov Stabilnost mešanice Faktorji, ki vplivajo na stabilnost Kompatibilnost Viri pdf
   Kemična formula  

Mazila
Stabilnost mešanice   Mazila   Stabilnost mešanice : Azithromycine     
ni podatka

  Mentions Légales