Last update :
18/03/2026
Antibiotic   Azithromycine  
Ointments
injection
Stability of pharmaceutical preparations Stability of mixtures Factors which affect stability Compatibility References pdf
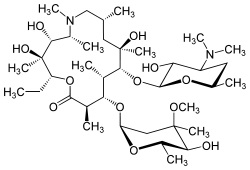
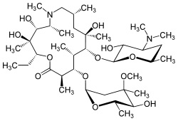
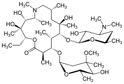
   Chemical structure  

Ointments
Stability of mixtures   Ointments   Stability of mixtures : Azithromycine     
No data

  Mentions Légales