Posledná aktualizácia :
18/03/2026
antibiotikum   Azithromycine  
Dermálny prípravok
Injekcia
Stabilita farmaceutických prípravkov Stabilita v zmesiach Faktory ovplyvňujúce stabilitu Kompatibility Odkazy na literatúru PDF
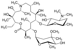
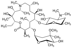
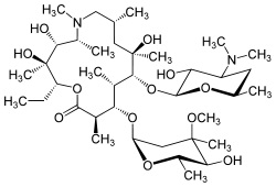
   Chemický vzorec  

Dermálny prípravok
Stabilita v zmesiach   Dermálny prípravok   Stabilita v zmesiach : Azithromycine     
žiadne údaje

  Mentions Légales