viimane versioon :
18/03/2026
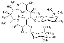
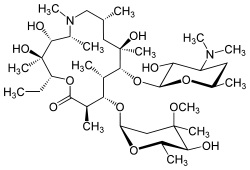
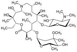
antibiootikum   Azithromycine  
salv
Süsteravim
Stabiilsust ravimpreparaadid Stabiilsust mõjutavad tegurid stabiilsust mõjutavad faktorid Sobimatus Viited pdf
   keemiline struktuur  

salv
Stabiilsust mõjutavad tegurid   salv   Stabiilsust mõjutavad tegurid : Azithromycine     
andmed puuduvad

  Mentions Légales