Zadnji put ažurirano :
18/03/2026
antibiotik   Azithromycine  
masti
injekcija
Stabilnost farmaceutskih pripravaka Stabilnost mješavine Stabilizacijski faktor Kompatibilnosti Bibliografija pdf
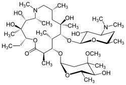
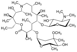
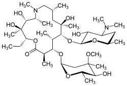
   Kemijska struktura  

masti
Stabilnost mješavine   masti   Stabilnost mješavine : Azithromycine     
bez podataka

  Mentions Légales