Poslední aktualizace :
18/03/2026
Antibiotikum   Azithromycine  
Masti
injekce
Stabilita farmaceutických přípravků Stabilita směsí Faktory ovlivňující stabilitu Kompatibilita Odkazy pdf
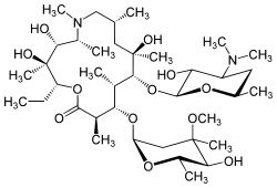
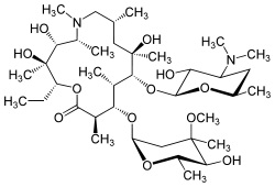
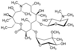
   Chemický vzorec  

Masti
Stabilita směsí   Masti   Stabilita směsí : Azithromycine     
žádná data

  Mentions Légales