最新更新 :
18/03/2026
抗生素   Azithromycine  
药膏
注射液
制剂的稳定性 混合物稳定性 影响稳定性的因素 兼容性 引用文献 PDF
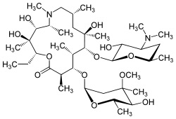
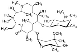
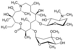
   化学式  

药膏
混合物稳定性   药膏   混合物稳定性 : Azithromycine     
无数据

  Mentions Légales