Seneste opdatering :
18/03/2026
Antibiotisk   Azithromycine  
Salver
Injektion
Stabilitet af farmaceutiske tilberedninger Stabilitet i blandinger Faktorer der påvirker stabiliteten Kompatibilitet Bibliografi pdf
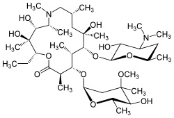
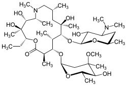
   Kemisk struktur  

Salver
Stabilitet i blandinger   Salver   Stabilitet i blandinger : Azithromycine     
Ingen data

  Mentions Légales