آخر تحديث :
18/03/2026
مضاد حيوي   Azithromycine  
المراهم
حقن
استقرار المستحضرات الصيدلانية استقرار مخاليط العوامل التي تؤثر على الاستقرار التوافق مراجع pdf
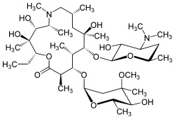
   التركيب الكيميائي  

المراهم
استقرار مخاليط   المراهم   استقرار مخاليط : Azithromycine     
لا توجد بيانات

  Mentions Légales