Última actualización :
27/11/2025
fármacos contra el cáncer   Cyclophosphamide  
Cápsula
Inyectables Solución Oral
La estabilidad de las preparaciones farmacéuticas Estabilidad en mezcla Factores que influyen sobre la estabilidad Compatibilidades Bibliografía pdf
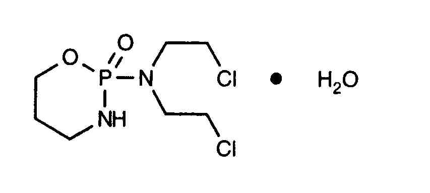
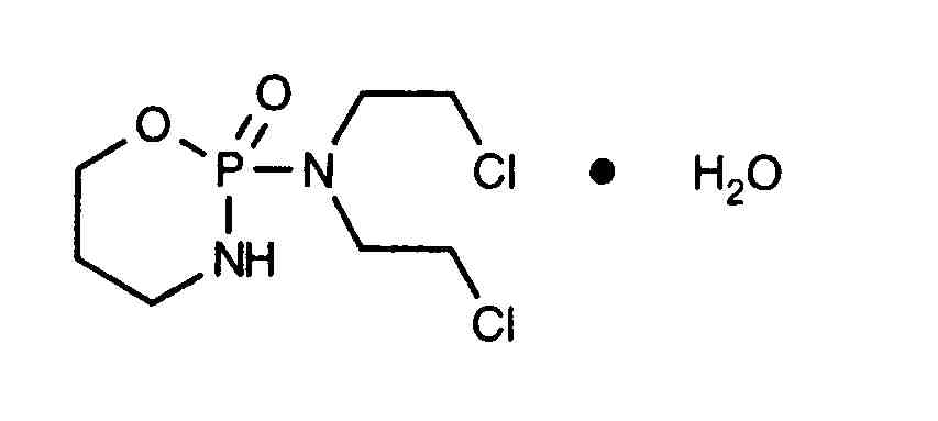
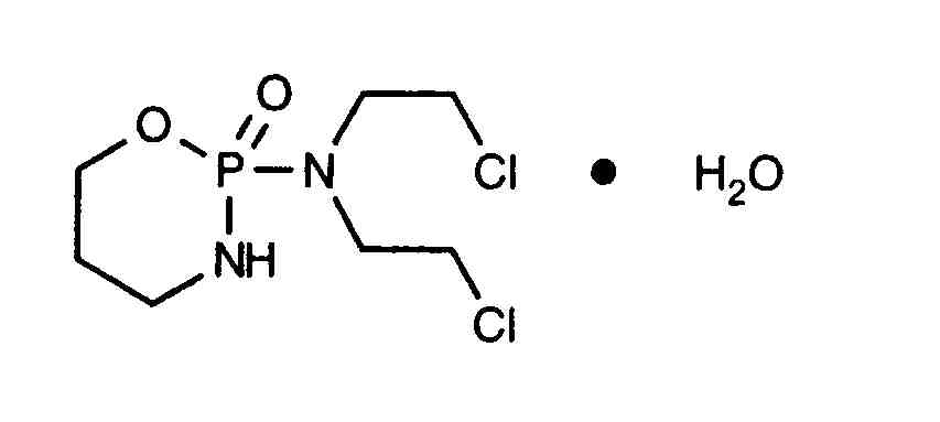
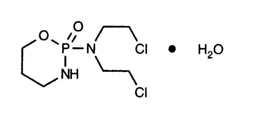
   Estructura química  

Cápsula
La estabilidad de las preparaciones farmacéuticas   Cápsula   La estabilidad de las preparaciones farmacéuticas : Cyclophosphamide     
Envase Origine Excipiente Temperatura Conservación Duración de la estabilidad Bibliografía
No precisado Cápsulas 10 mg
Endoxan®
Lactosa >>
? No precisada
70 Día
2000


  Mentions Légales