Letztes “update” :
27/11/2025
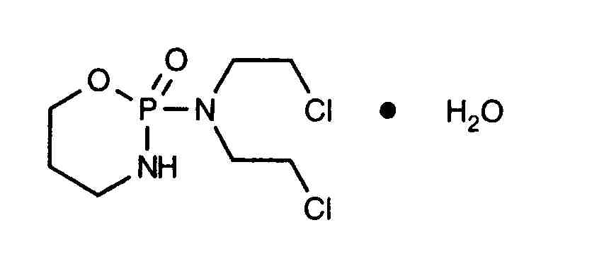
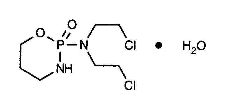
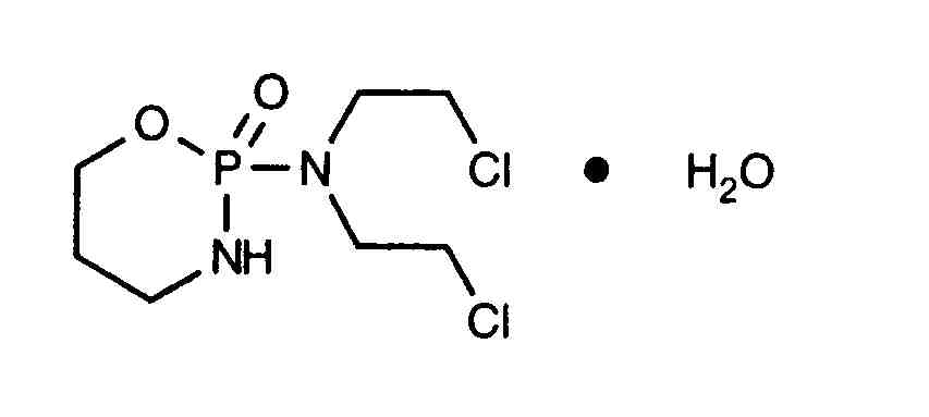
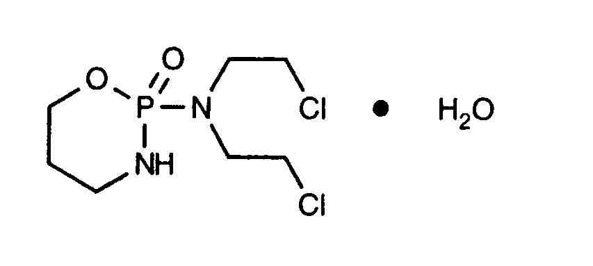
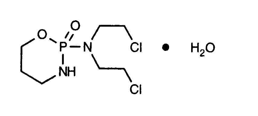
Antikrebsmittel   Cyclophosphamide  
Kapsel (Singular !)
Injektion Lösung zum Einnehmen
Stabilität von pharmazeutischen Präparaten Gemengestabilität Stabilitätbeeinflussende Faktoren Kompatibilitäten Literaturverzeichnis pdf
   Chemische Struktur  

Kapsel (Singular !)
Stabilität von pharmazeutischen Präparaten   Kapsel (Singular !)   Stabilität von pharmazeutischen Präparaten : Cyclophosphamide     
Behälter Origine Hilfsstoff Temperatur Konservierung Dauer der Stabilität Literaturverzeichnis
Nicht genau angegeben Kapseln 10 mg
Endoxan®
Lactose >>
? Nicht genau angegeben
70 Tag
2000


  Mentions Légales