Laatste update :
27/11/2025
geneesmiddel tegen kanker   Cyclophosphamide  
Capsule
injecteerbaar geneesmiddel Orale Oplossing
Stabiliteit van farmaceutische preparaten Stabiliteit in mengsels Factoren die de stabiliteit beïnvloeden Verenigbaarheden Literatuur pdf
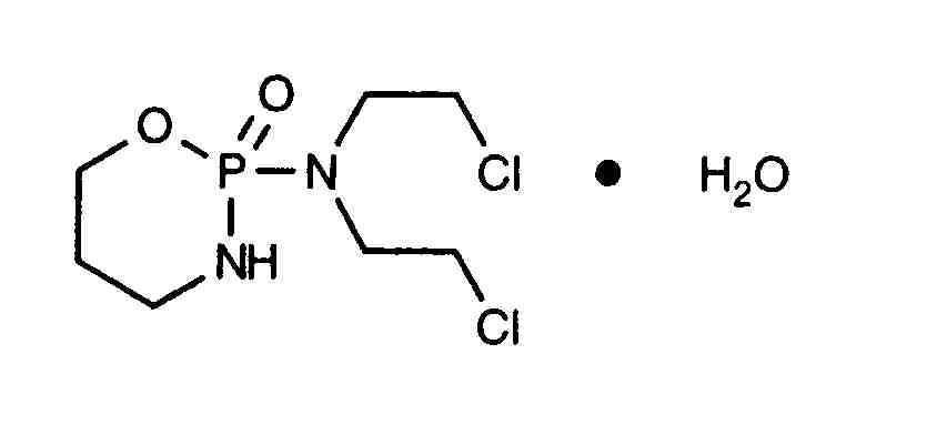
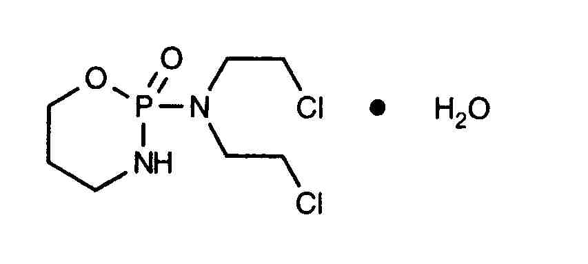
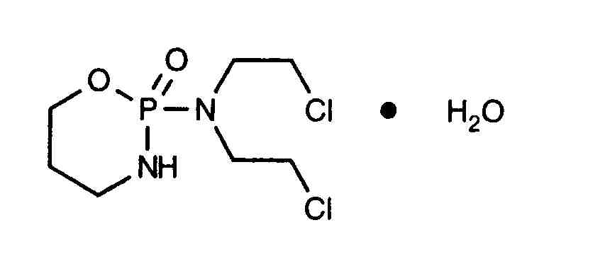
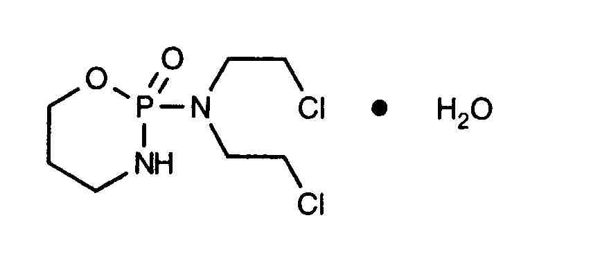
   Molecuulstructuur  

Capsule
Stabiliteit van farmaceutische preparaten   Capsule   Stabiliteit van farmaceutische preparaten : Cyclophosphamide     
Verpakking Origine  ikˈsipēənt hulpstof Temperatuur Bewaring Duur van de stabiliteit Literatuur
Niet gespecificeerd capsules 10 mg
Endoxan®
lactose >>
? Niet gespecificeerd
70 Dag
2000


  Mentions Légales