Last update :
03/02/2026
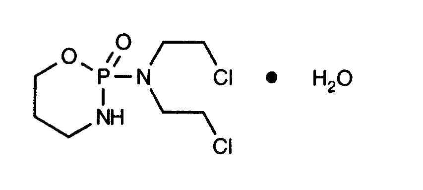
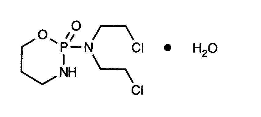
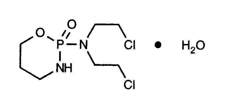
Anticancer drug   Cyclophosphamide  
Capsule
injection Oral solution
Stability of pharmaceutical preparations Stability of mixtures Factors which affect stability Compatibility References pdf
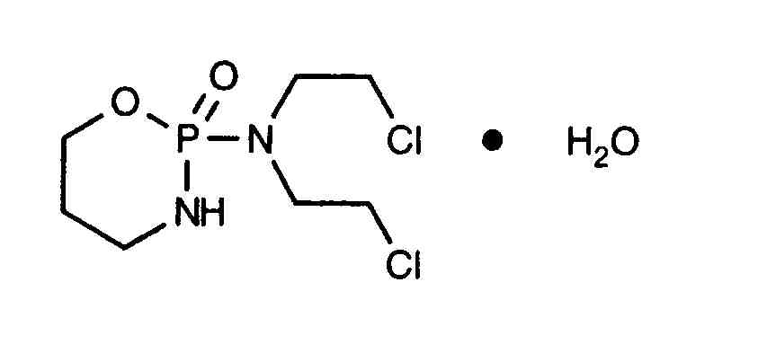
   Chemical structure  

Capsule
Stability of pharmaceutical preparations   Capsule   Stability of pharmaceutical preparations : Cyclophosphamide     
Container Origine excipient Temperature Storage Duration of stability References
Not specified Kapseln 10 mg
Endoxan®
Lactose >>
? Not specified
70 Day
2000


  Mentions Légales