zadnja posodobitev :
18/03/2026
rak drog   Cyclophosphamide  
Kapsula
Brizgalka Peroralna raztopina
Stabilnost farmacevtskih preparatov Stabilnost mešanice Faktorji, ki vplivajo na stabilnost Kompatibilnost Viri pdf
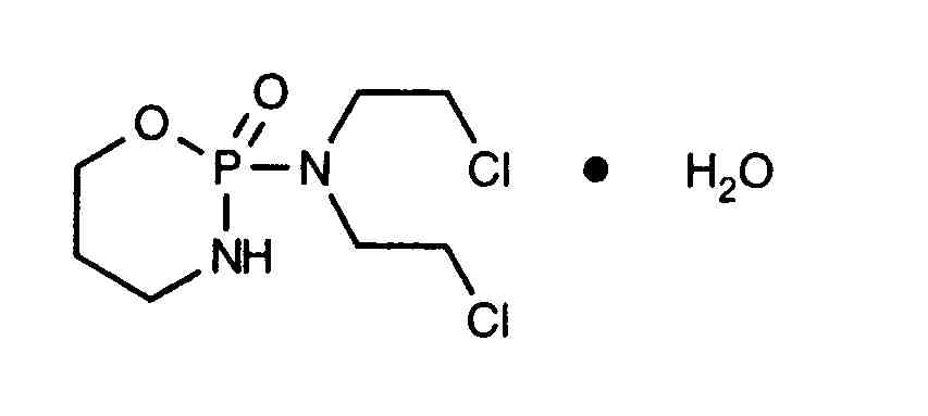
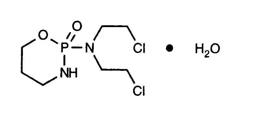
   Kemična formula  

Kapsula
Stabilnost farmacevtskih preparatov   Kapsula   Stabilnost farmacevtskih preparatov : Cyclophosphamide     
Vsebnik Origine Ekscipient Temperatura Shranjevanje Trajanje stabilnosti Viri
Nedoločeno Kapsule 10 mg
Endoxan®
Laktoza >>
? Nedoločeno
70 Dan
2000


  Mentions Légales