最新更新 :
27/11/2025
細胞増殖抑制薬   Cyclophosphamide  
カプセル
注射薬 経口液
調剤時の安定性 混合時の安定性 安定性に影響する因子 互換性 引用文献 PDF
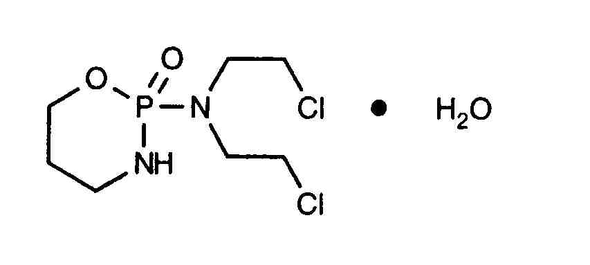
   化学構造  

カプセル
調剤時の安定性   カプセル   調剤時の安定性 : Cyclophosphamide     
容器 Origine 添加剤 温度 保管 安定期間 引用文献
指定なし カプセル 10 mg
Endoxan®
乳糖 >>
? 特記なし
70 日
2000


  Mentions Légales