Ultimo aggiornamento :
18/03/2026
farmaco contro il cancro   Cyclophosphamide  
Capsula
Iniezione Soluzione orale
Stabilità dei preparati farmaceutici Stabilità in miscela Fattori che influenzano la stabilità Compatibilità Bibliografia pdf
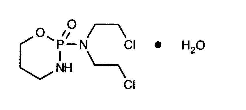
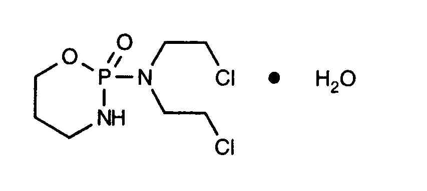
   Struttura chimica  

Capsula
Stabilità dei preparati farmaceutici   Capsula   Stabilità dei preparati farmaceutici : Cyclophosphamide     
contenitore Origine eccipiente Temperatura Conservazione Durata della stabilità Bibliografia
Non precisato capsula 10 mg
Endoxan®
lattosio >>
? Non precisata
70 Giorno
2000


  Mentions Légales