Poslední aktualizace :
27/11/2025
vėžio narkotikų   Cyclophosphamide  
Kapsulė
Geriamas tirpalas Įpurškimas
Stabilumas farmacinių preparatų Mišinių stabilumas Stabilumą lemiantys veiksniai Suderinamumas Bibliografija pdf
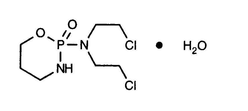
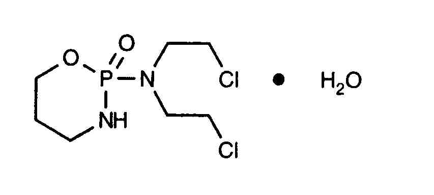
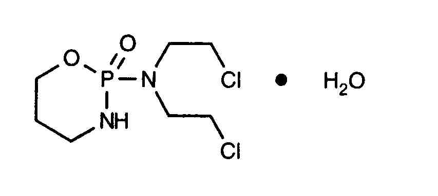
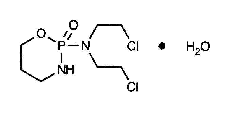
   Cheminė sandara  

Kapsulė
Stabilumas farmacinių preparatų   Kapsulė   Stabilumas farmacinių preparatų : Cyclophosphamide     
Pakuotė Origine Ekscipientas Temperatūra Laikymas Stabilumo trukmė Nuorodos
Nenurodyta Kapsulės 10 mg
Endoxan®
Laktozė >>
? Nenurodyta
70 Diena
2000


  Mentions Légales