Zadnji put ažurirano :
27/11/2025
lijek protiv karcinoma   Cyclophosphamide  
kapsula
injekcija oralna otopina
Stabilnost farmaceutskih pripravaka Stabilnost mješavine Stabilizacijski faktor Kompatibilnosti Bibliografija pdf
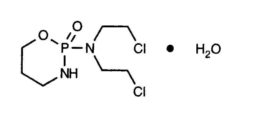
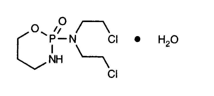
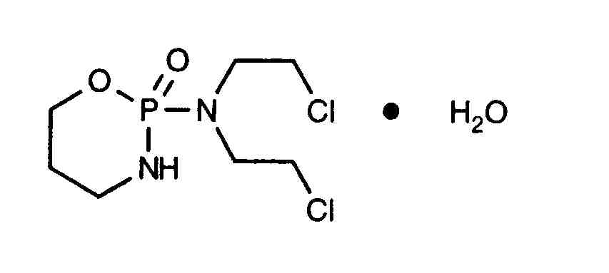
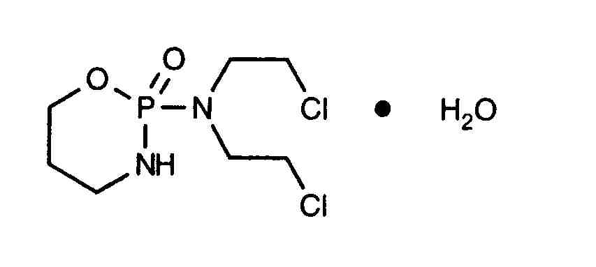
   Kemijska struktura  

kapsula
Stabilnost farmaceutskih pripravaka   kapsula   Stabilnost farmaceutskih pripravaka : Cyclophosphamide     
Kontejner Origine pomoćna tvar temperatura Konzerviranje Trajanje stabilnosti Bibliografija
nespecifičan kapsula 10 mg
Endoxan®
Laktoza >>
? nespecifičan
70 dan
2000


  Mentions Légales