Son güncelleme :
18/03/2026
Antifungal   Amphotericin B liposomale  
Göz damlası
Enjeksiyon
Farmasötik preparatlar Kararlılığı Karışımlardaki stabilitesi Stabiliteyi etkileyen faktörler Uyumluluk Kaynaklar pdf
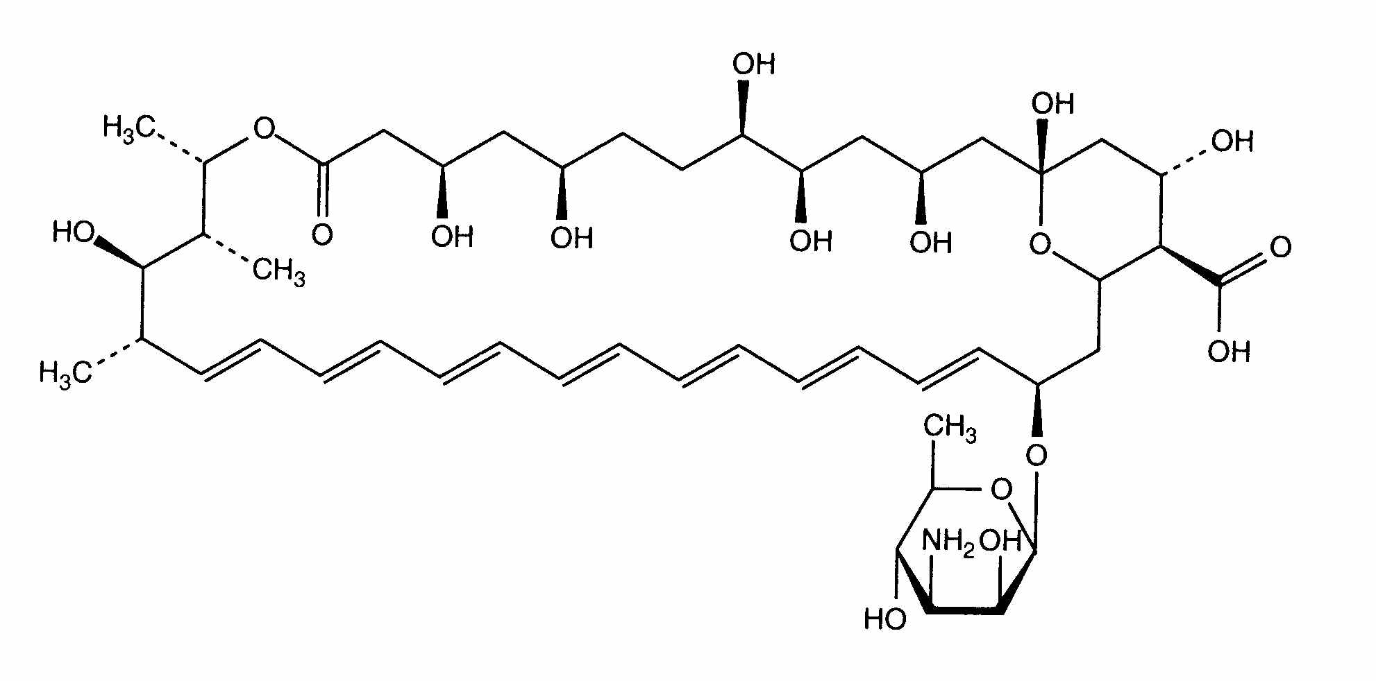
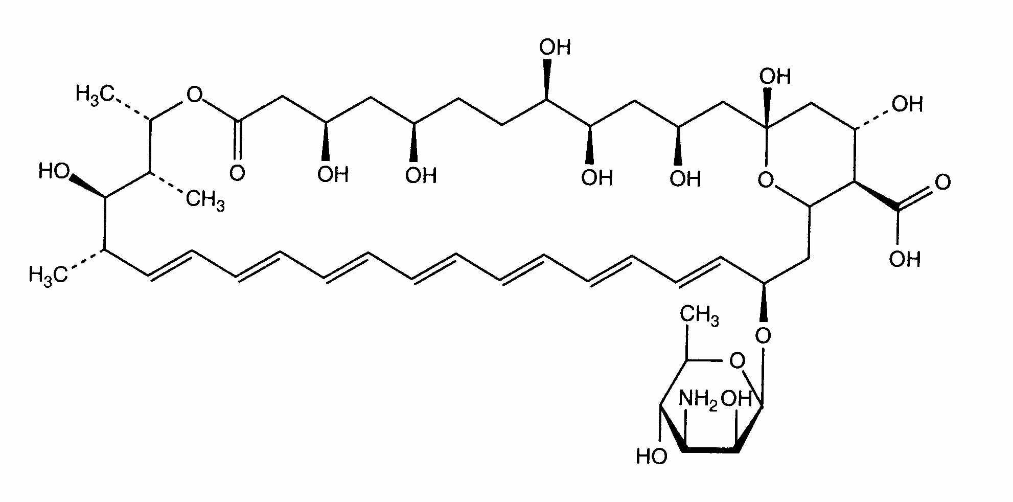
Lipozom   Kimyasal yapı   

Göz damlası
Farmasötik preparatlar Kararlılığı   Göz damlası   Farmasötik preparatlar Kararlılığı : Amphotericin B liposomale     
Saklama kabı Origine yardımcı madde Isı Saklama    Stabilite süresi Kaynaklar
Cam Enjeksiyon için ilaç şişesi 5 mg
Ambisome®
Enjeksiyonluk su >> 1 ml
2-8°C Işıktan koruyunuz
180 Gün
2654

Cam Enjeksiyon için ilaç şişesi 5 mg
Ambisome®
Enjeksiyonluk su >> 1 ml
25°C Işıktan koruyunuz
180 Gün
2654


  Mentions Légales