Pēdējā atjaunošana :
18/03/2026
Pretsēnīšu līdzeklis   Amphotericin B liposomale  
Acu pilieni
Injekcija
Stabilitāte farmaceitisko preparātu Maisījuma stabilitāte Stabilitāti ietekmējoši faktori Saderība Literatūras saraksts pdf
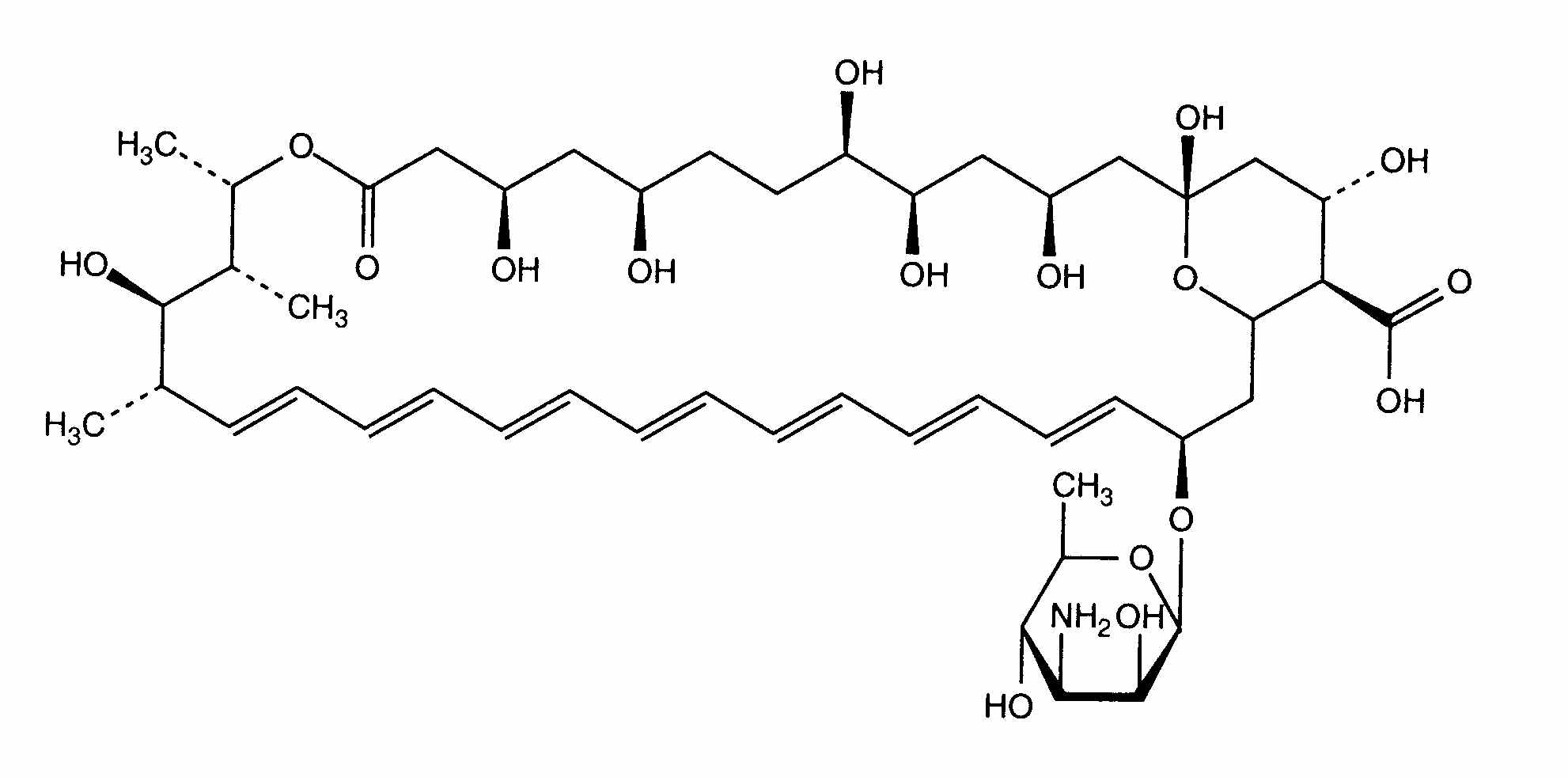
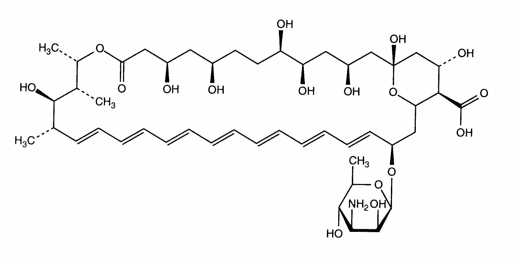
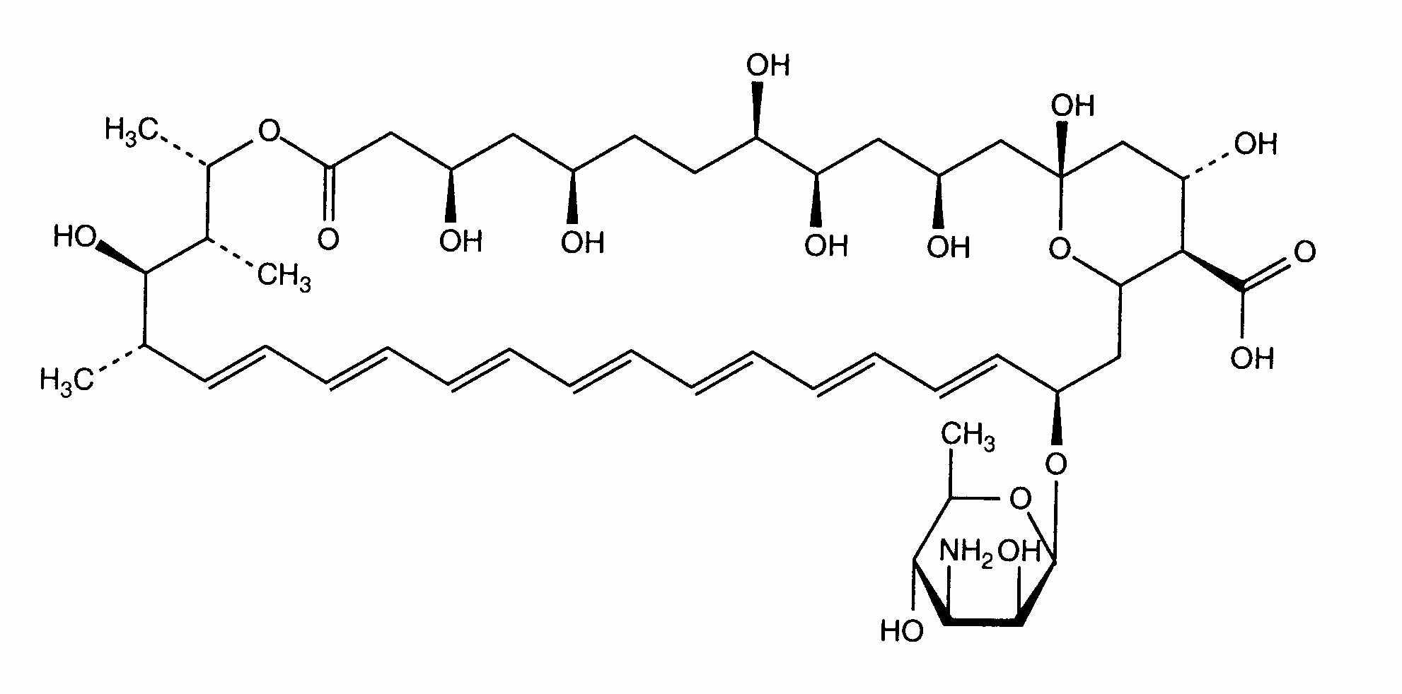
Liposoma   Ķīmiskā uzbūve   

Acu pilieni
Stabilitāte farmaceitisko preparātu   Acu pilieni   Stabilitāte farmaceitisko preparātu : Amphotericin B liposomale     
Iepakojums Origine Palīgviela Temperatūra Glabāšana Stabilitātes ilgums Literatūras saraksts
Stikls Medicīniskā pudele injekcijām 5 mg
Ambisome®
Injekciju ūdens >> 1 ml
2-8°C Aizsargāt no gaismas
180 Diena
2654

Stikls Medicīniskā pudele injekcijām 5 mg
Ambisome®
Injekciju ūdens >> 1 ml
25°C Aizsargāt no gaismas
180 Diena
2654


  Mentions Légales