Última actualización :
18/03/2026
Antifúngico   Amphotericin B liposomale  
Gotas oculares
Inyectables
La estabilidad de las preparaciones farmacéuticas Estabilidad en mezcla Factores que influyen sobre la estabilidad Compatibilidades Bibliografía pdf
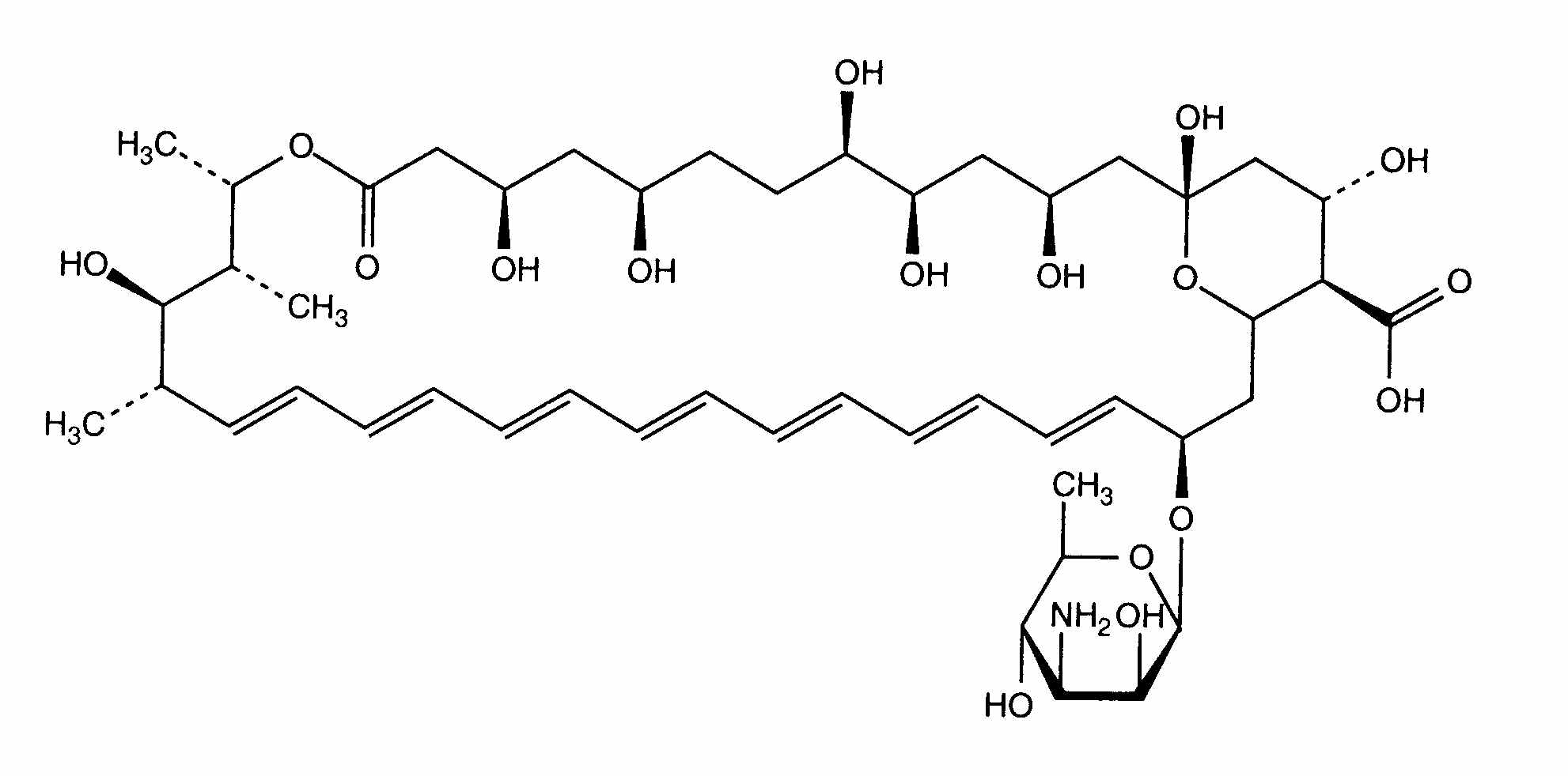
Liposoma   Estructura química  

Gotas oculares
La estabilidad de las preparaciones farmacéuticas   Gotas oculares   La estabilidad de las preparaciones farmacéuticas : Amphotericin B liposomale     
Envase Origine Excipiente Temperatura Conservación Duración de la estabilidad Bibliografía
Vidrio Frasco para medicamentos inyectables 5 mg
Ambisome®
Agua para inyección >> 1 ml
2-8°C A cubierto de la luz
180 Día
2654

Vidrio Frasco para medicamentos inyectables 5 mg
Ambisome®
Agua para inyección >> 1 ml
25°C A cubierto de la luz
180 Día
2654


  Mentions Légales