viimane versioon :
05/12/2025
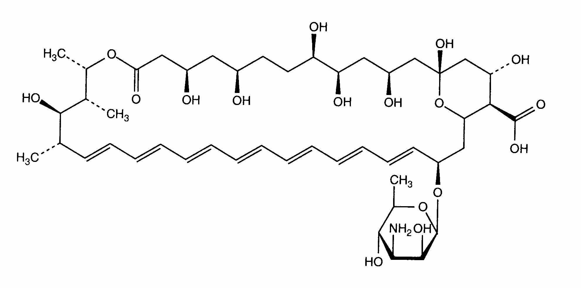
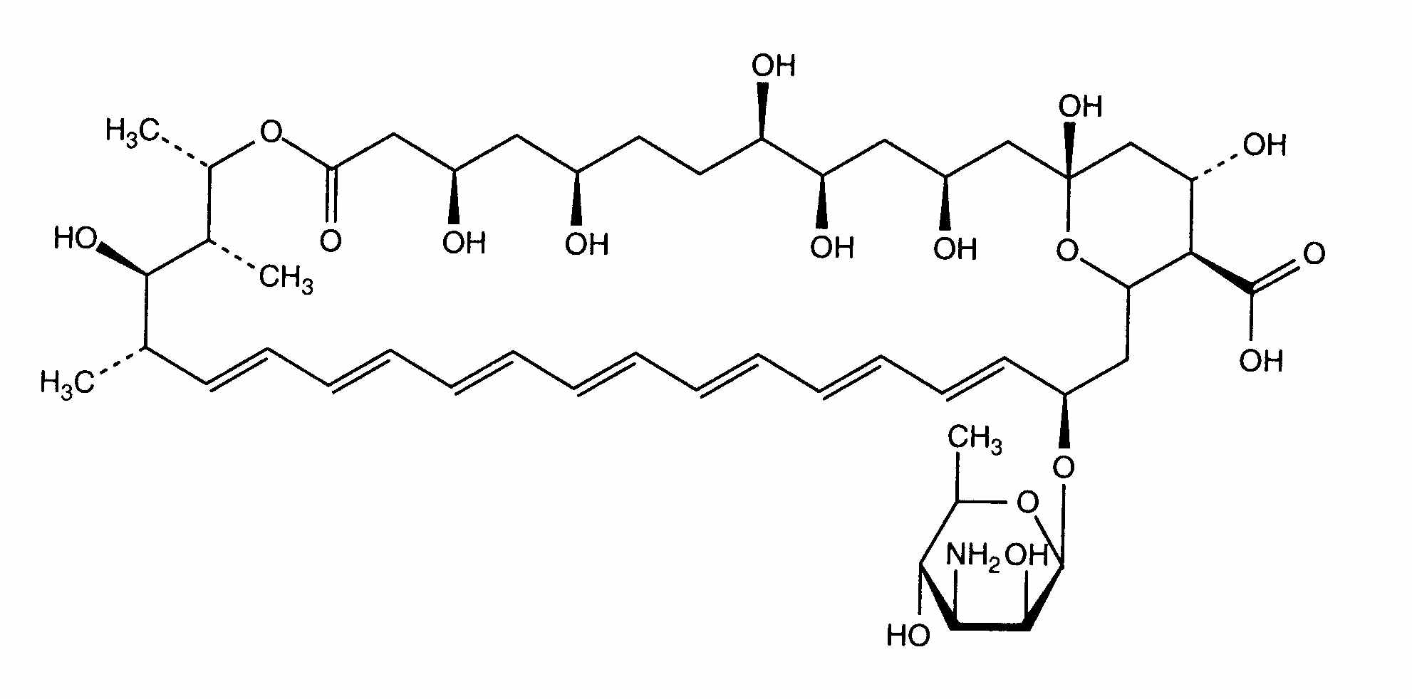
Seenevastane ravim   Amphotericin B liposomale  
Silmatilgad
Süsteravim
Stabiilsust ravimpreparaadid Stabiilsust mõjutavad tegurid stabiilsust mõjutavad faktorid Sobimatus Viited pdf
liposoom   keemiline struktuur  

Silmatilgad
Stabiilsust ravimpreparaadid   Silmatilgad   Stabiilsust ravimpreparaadid : Amphotericin B liposomale     
konteiner Origine  abiaine temperatuur ladustamine Stabiilsuse kestus Viited
klaas Süsteravimi viaal 5 mg
Ambisome®
süstevesi >> 1 ml
2-8°C kaitsta valguse eest
180 päev
2654

klaas Süsteravimi viaal 5 mg
Ambisome®
süstevesi >> 1 ml
25°C kaitsta valguse eest
180 päev
2654


  Mentions Légales