Siste oppdatering :
05/12/2025
Fungicid   Amphotericin B liposomale  
Øyedråper
Injeksjon
Stabilitet av farmasøytiske preparater Stabilitet i blandinger Faktorer som påvirker stabiliteten Kompatibilitet Referanser pdf
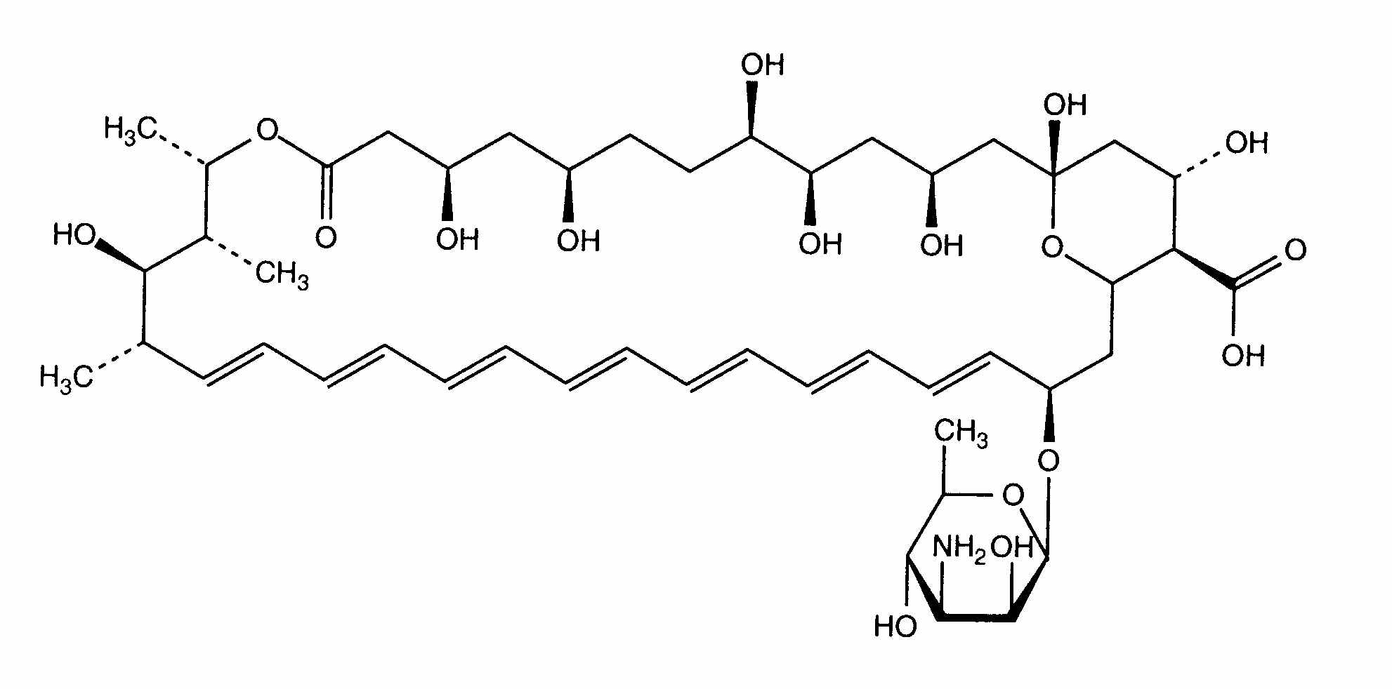
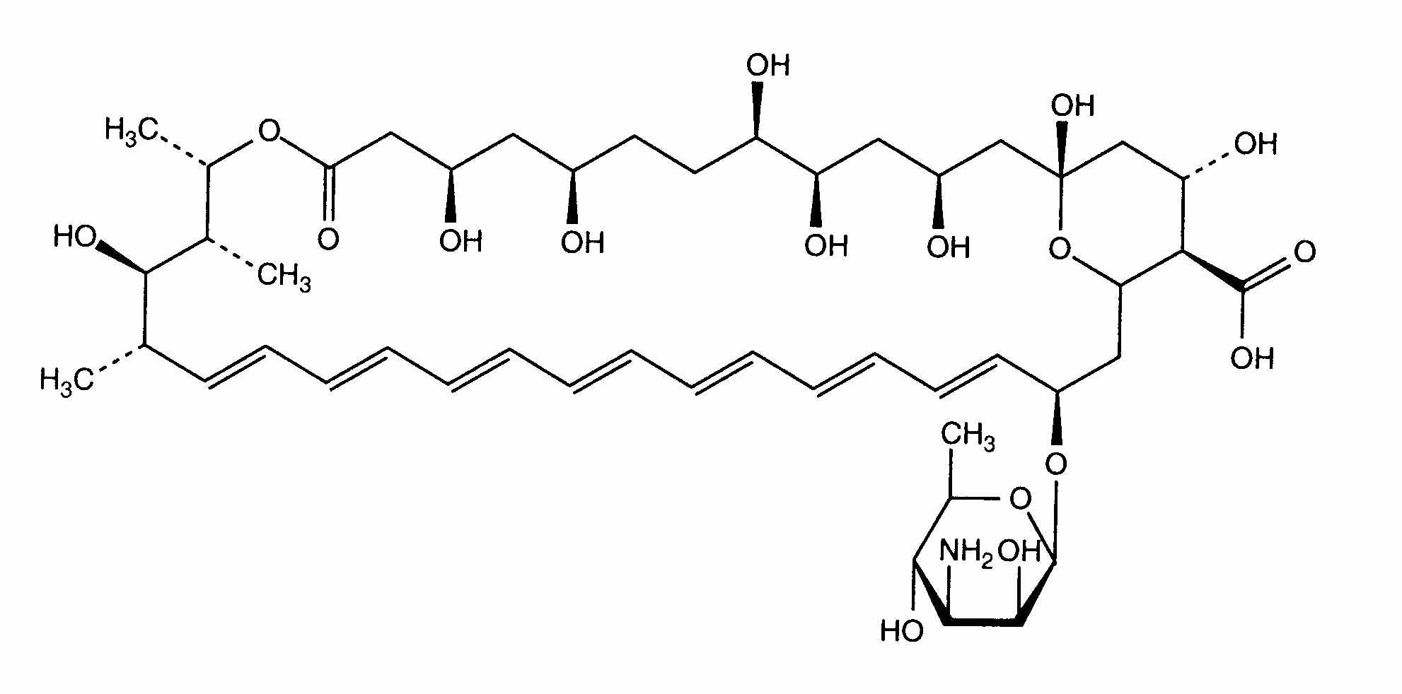
Liposom   Kjemisk struktur  

Øyedråper
Stabilitet av farmasøytiske preparater   Øyedråper   Stabilitet av farmasøytiske preparater : Amphotericin B liposomale     
Beholder Origine Hjelpestoff Temperatur Oppbevaring Varighet av stabilitet Referanser
Glass Hetteglass 5 mg
Ambisome®
Vann til injeksjon >> 1 ml
2-8°C Beskyttes mot lys
180 Dag
2654

Glass Hetteglass 5 mg
Ambisome®
Vann til injeksjon >> 1 ml
25°C Beskyttes mot lys
180 Dag
2654


  Mentions Légales