Senaste uppdateringen :
18/03/2026
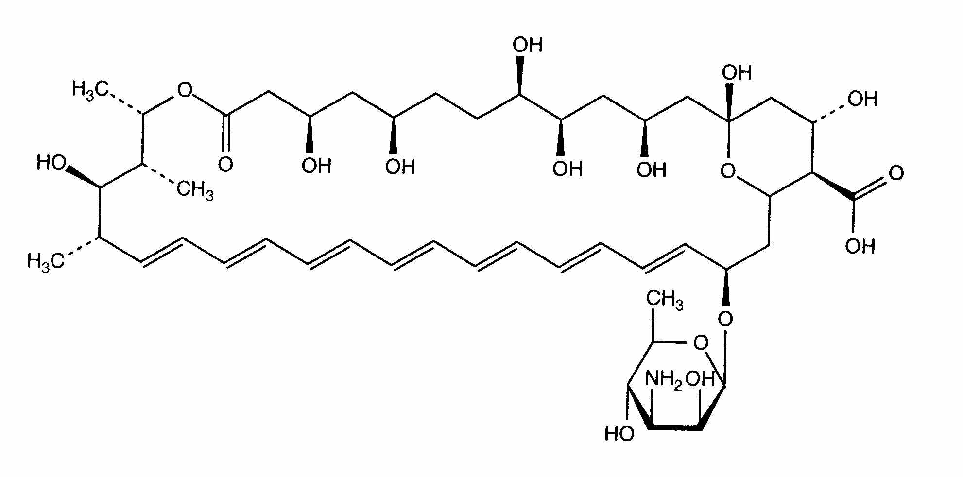
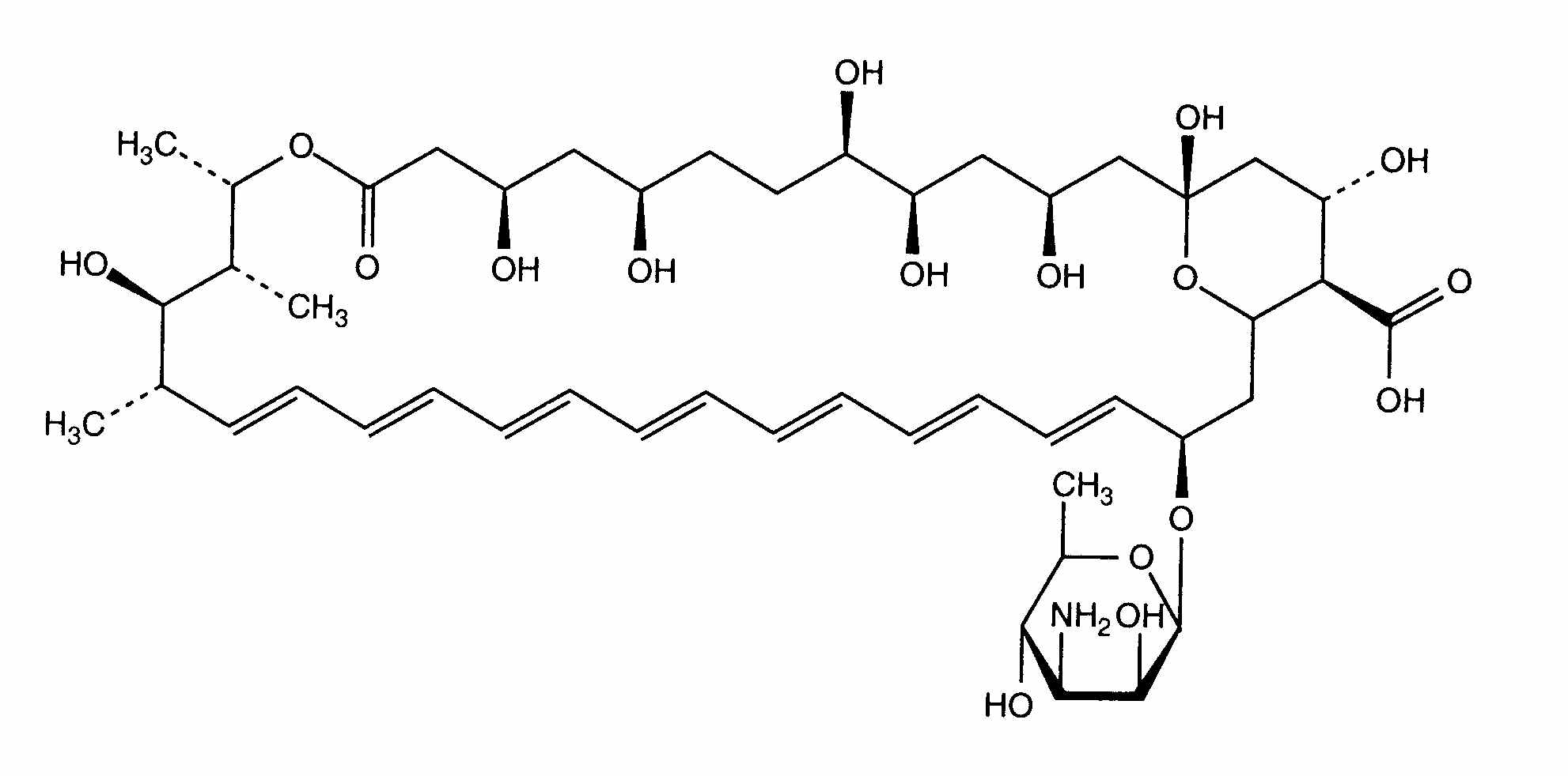
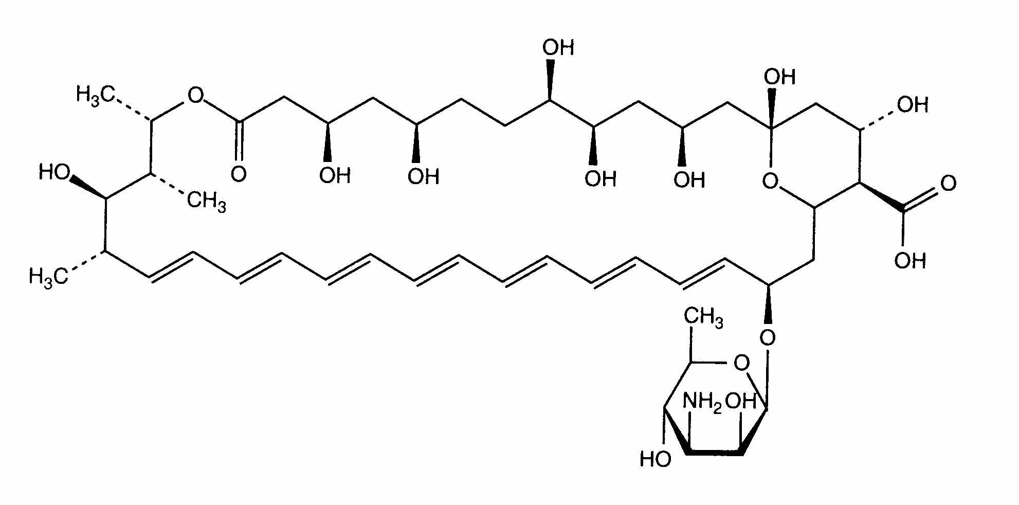
Antimykotikum   Amphotericin B liposomale  
ögondroppar
injektion
Stabilitet av läkemedel Stabilitet i blandningar Faktorer som påverkar stabiliteten Kompatibilitet Hänvisningar pdf
Liposom   Molekylstruktur  

ögondroppar
Stabilitet av läkemedel   ögondroppar   Stabilitet av läkemedel : Amphotericin B liposomale     
Behållare Origine Hjälpämne Temperatur Förvaring Stabilitets varaktighet Hänvisningar
Glas injektionsflaska 5 mg
Ambisome®
Vatten för injektion >> 1 ml
2-8°C Skyddas från ljus
180 Dag
2654

Glas injektionsflaska 5 mg
Ambisome®
Vatten för injektion >> 1 ml
25°C Skyddas från ljus
180 Dag
2654


  Mentions Légales