Ostatnia aktualizacja :
18/03/2026
Lek przeciwgrzybiczny   Amphotericin B liposomale  
Krople oczne
Injekcje
Stabilność preparatów farmaceutycznych Trwałość w mieszaninie Czynnik wpływający na trwałość Zgodność Bibliografia pdf
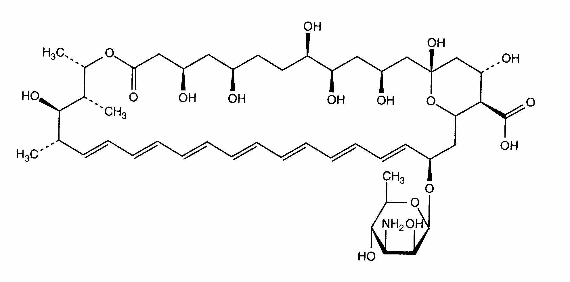
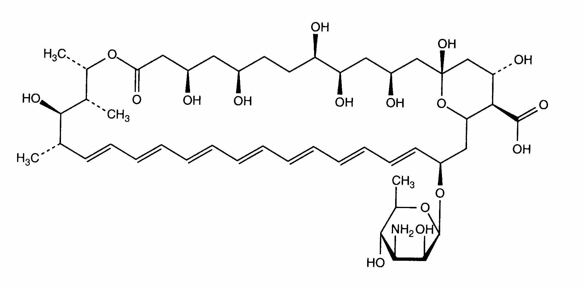
Liposomy   Struktura chemiczna  

Krople oczne
Stabilność preparatów farmaceutycznych   Krople oczne   Stabilność preparatów farmaceutycznych : Amphotericin B liposomale     
Pojemnik Origine Substancja pomocniczna Temperatura Przechowywanie Czas trwania stabilności Bibliografia
Szkło Fiolka 5 mg
Ambisome®
Woda do iniekcji >> 1 ml
2-8°C Chronić od światła
180 Dzień
2654

Szkło Fiolka 5 mg
Ambisome®
Woda do iniekcji >> 1 ml
25°C Chronić od światła
180 Dzień
2654


  Mentions Légales