Zadnji put ažurirano :
18/03/2026
antifungicid   Amphotericin B liposomale  
kapi za oko
injekcija
Stabilnost farmaceutskih pripravaka Stabilnost mješavine Stabilizacijski faktor Kompatibilnosti Bibliografija pdf
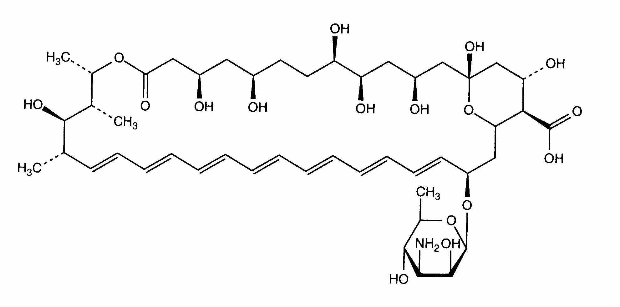
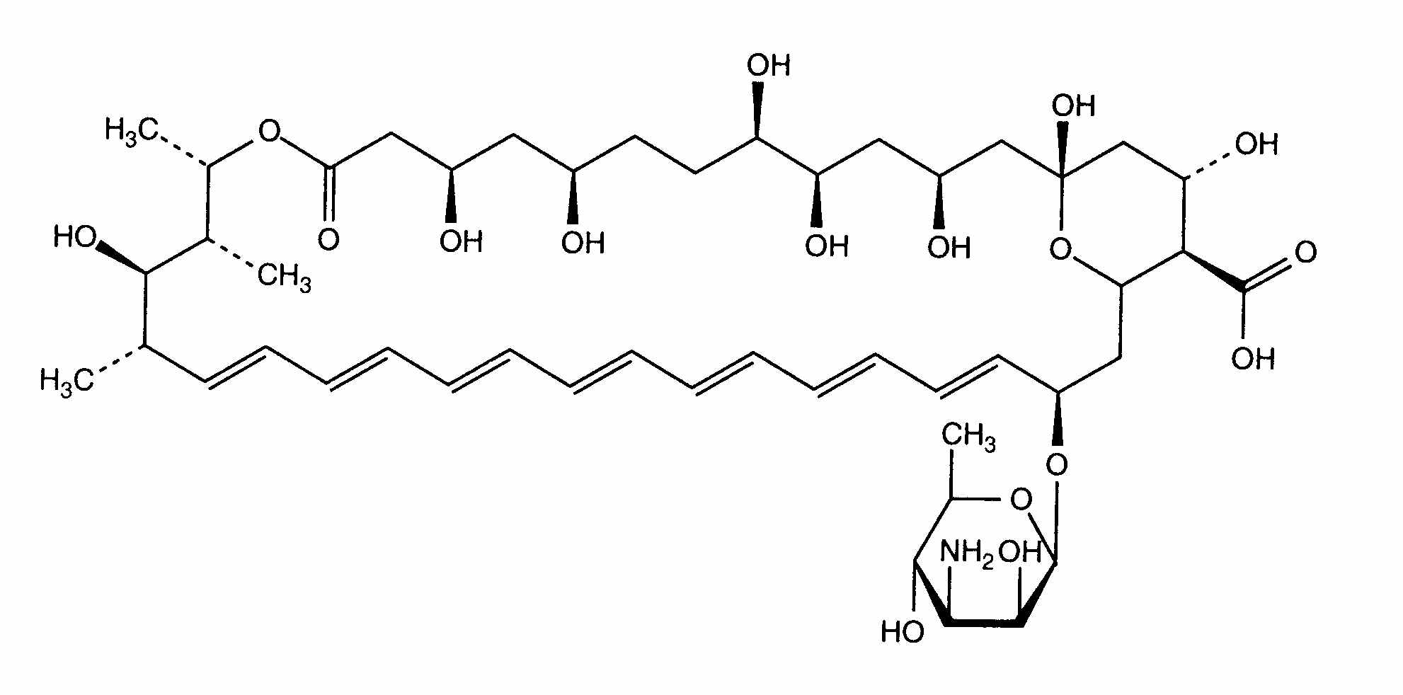
liposomi   Kemijska struktura  

kapi za oko
Stabilnost farmaceutskih pripravaka   kapi za oko   Stabilnost farmaceutskih pripravaka : Amphotericin B liposomale     
Kontejner Origine pomoćna tvar temperatura Konzerviranje Trajanje stabilnosti Bibliografija
čaša bočica za injekcije 5 mg
Ambisome®
voda za injekcije >> 1 ml
2-8°C Zaštićeno od svjetlosti
180 dan
2654

čaša bočica za injekcije 5 mg
Ambisome®
voda za injekcije >> 1 ml
25°C Zaštićeno od svjetlosti
180 dan
2654


  Mentions Légales