آخر تحديث :
18/03/2026
مضاد للفطريات   Amphotericin B liposomale  
قطرات العين
حقن
استقرار المستحضرات الصيدلانية استقرار مخاليط العوامل التي تؤثر على الاستقرار التوافق مراجع pdf
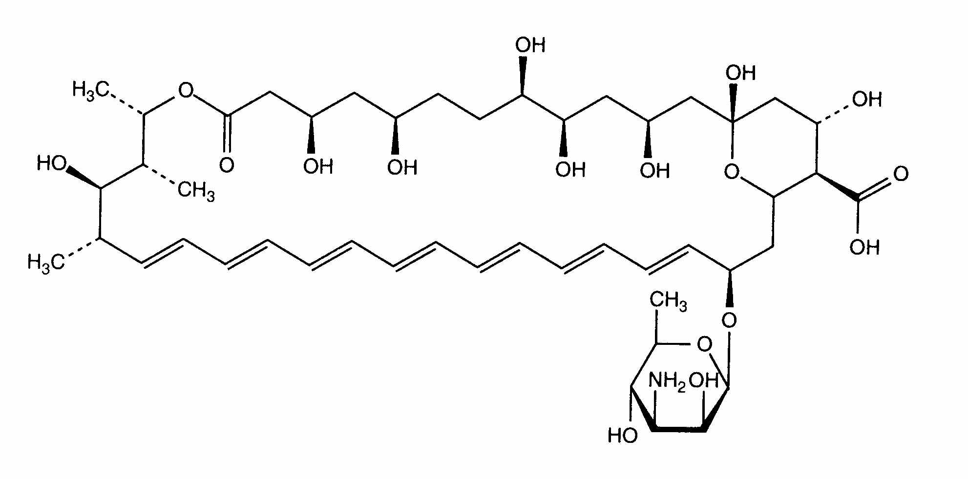
الحويصلية   التركيب الكيميائي  

قطرات العين
استقرار المستحضرات الصيدلانية   قطرات العين   استقرار المستحضرات الصيدلانية : Amphotericin B liposomale     
حاوية Origine الاضافات درجة الحرارة تخزين مدة الاستقرار مراجع
زجاج زجاجة الدواء للحقن 5 mg
Ambisome®
المياه للحقن >> 1 ml
2-8°C بعيدا عن الضوء
180 يوم
2654

زجاج زجاجة الدواء للحقن 5 mg
Ambisome®
المياه للحقن >> 1 ml
25°C بعيدا عن الضوء
180 يوم
2654


  Mentions Légales