Utolsó frissítés :
18/03/2026
Gombaellenes szer   Amphotericin B liposomale  
Szemcsepp
Injekció
Stabilitása gyógyszerészeti készítmények A keverékek stabilitása Stabilitást befolyásoló tényezők Kompatibilitás Irodalom pdf
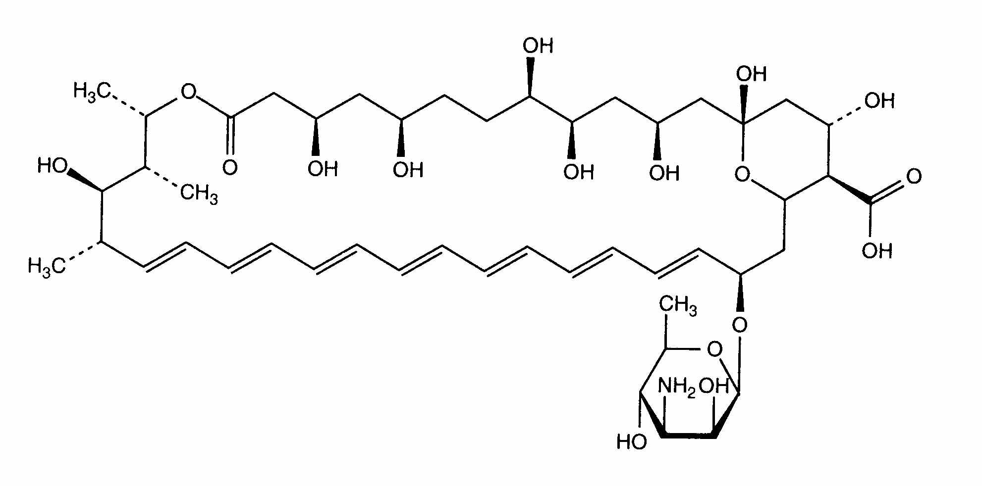
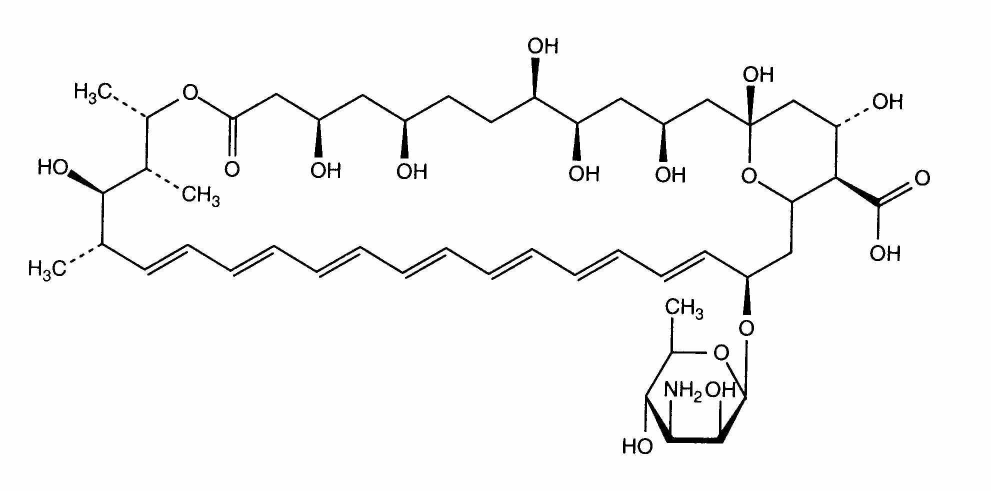
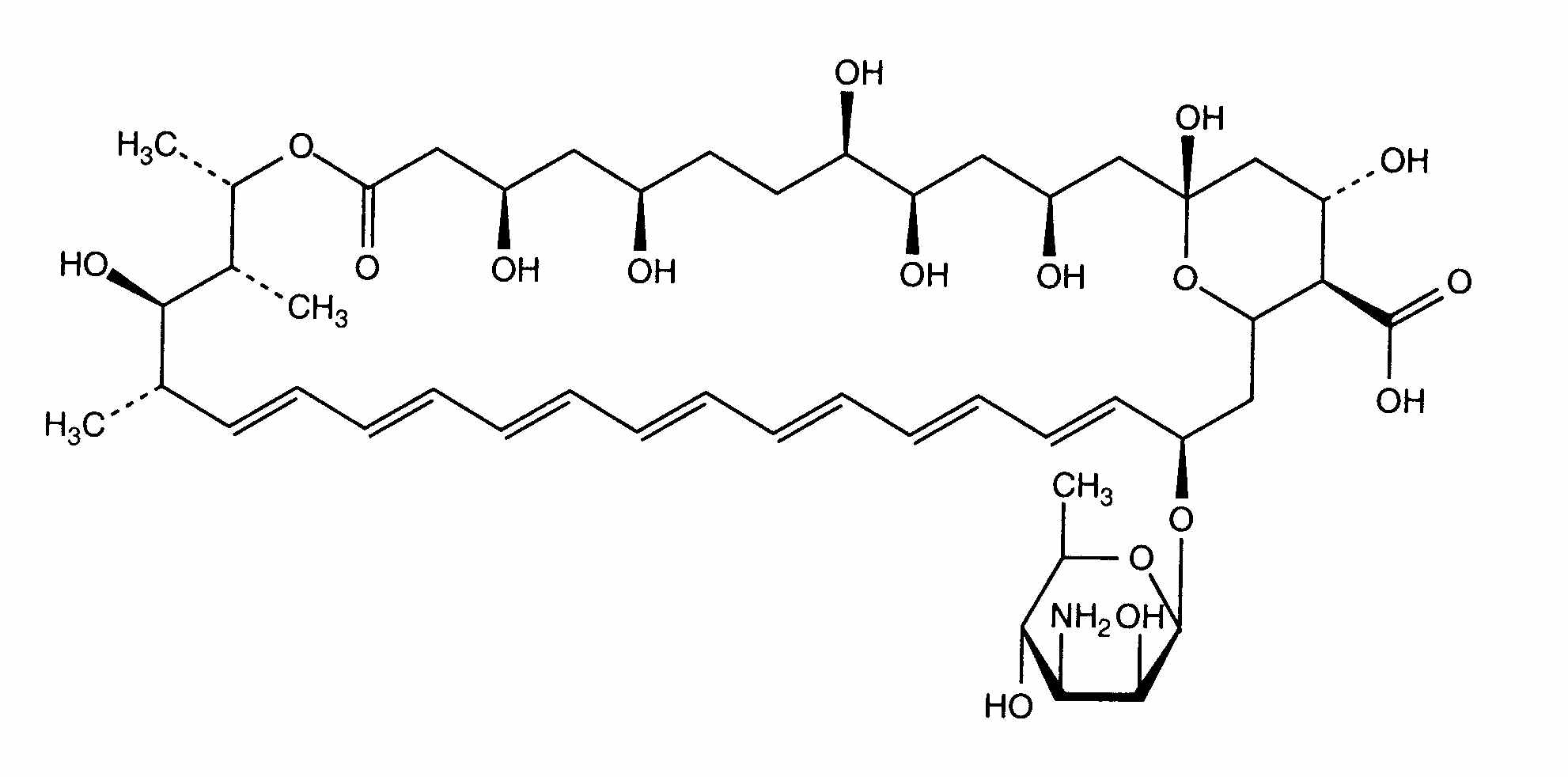
Liposzóma   Kémiai szerkezet   

Szemcsepp
Stabilitása gyógyszerészeti készítmények   Szemcsepp   Stabilitása gyógyszerészeti készítmények : Amphotericin B liposomale     
Csomagolás Origine segédanyag Hőmérséklet Tárolás A stabilitás időtartama Irodalom
Üveg Injekcióhoz való űveg 5 mg
Ambisome®
injekcióhoz való víz >> 1 ml
2-8°C Fénytől védve tartandó
180 Nap
2654

Üveg Injekcióhoz való űveg 5 mg
Ambisome®
injekcióhoz való víz >> 1 ml
25°C Fénytől védve tartandó
180 Nap
2654


  Mentions Légales