zadnja posodobitev :
18/03/2026
Zdravilo proti parazitom   Artesunate  
Svečka
Brizgalka
Stabilnost farmacevtskih preparatov Stabilnost mešanice Faktorji, ki vplivajo na stabilnost Kompatibilnost Viri pdf
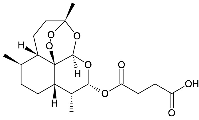
   Kemična formula  

Svečka

Faktorji, ki vplivajo na stabilnost   Svečka   Faktorji, ki vplivajo na stabilnost : Artesunate        
ni podatka

  Mentions Légales