Последно актуализиране :
18/03/2026
Противопаразитно средство   Artesunate  
Супозитория
Инжекция/Инжекционен
Стабилност на лекарствени препарати Стабилност на смеси Фактори, повлияващи стабилността Съвместимост Библиография Pdf
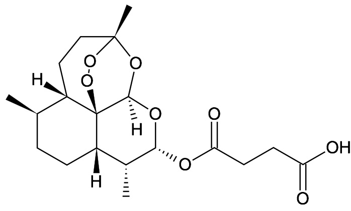
   Химична структура  

Супозитория

Фактори, повлияващи стабилността   Супозитория   Фактори, повлияващи стабилността : Artesunate        
Няма данни

  Mentions Légales