Последнее обновление :
18/03/2026
Противопаразитарное средство   Artesunate  
Суппозиторий (свеча)
Инъекция
Стабильность фармацевтических препаратов Стабильность смесей Факторы, которые влияют на стабильность Совместимость Библиография pdf
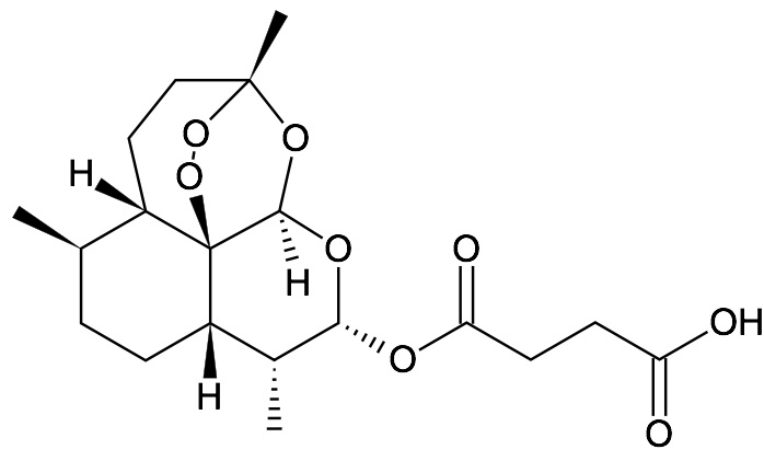
   Химическая структура  

Суппозиторий (свеча)

Факторы, которые влияют на стабильность   Суппозиторий (свеча)   Факторы, которые влияют на стабильность : Artesunate        
данных нет

  Mentions Légales