Poslední aktualizace :
18/03/2026
Antiparazitikum   Artesunate  
čípky
injekce
Stabilita farmaceutických přípravků Stabilita směsí Faktory ovlivňující stabilitu Kompatibilita Odkazy pdf
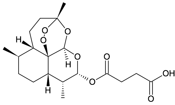
   Chemický vzorec  

čípky

Faktory ovlivňující stabilitu   čípky   Faktory ovlivňující stabilitu : Artesunate        
žádná data

  Mentions Légales