Zadnji put ažurirano :
18/03/2026
protuparazitski   Artesunate  
čepić
injekcija
Stabilnost farmaceutskih pripravaka Stabilnost mješavine Stabilizacijski faktor Kompatibilnosti Bibliografija pdf
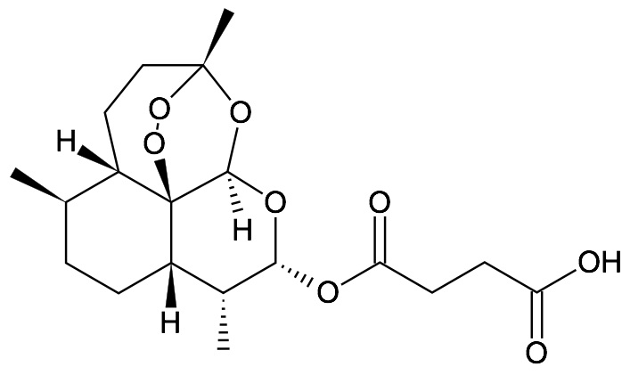
   Kemijska struktura  

čepić

Stabilizacijski faktor   čepić   Stabilizacijski faktor : Artesunate        
bez podataka

  Mentions Légales