Utolsó frissítés :
18/03/2026
Parazitaellenes szer   Artesunate  
kúp
Injekció
Stabilitása gyógyszerészeti készítmények A keverékek stabilitása Stabilitást befolyásoló tényezők Kompatibilitás Irodalom pdf
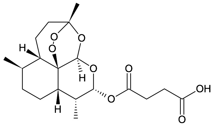
   Kémiai szerkezet   

kúp

Stabilitást befolyásoló tényezők   kúp   Stabilitást befolyásoló tényezők : Artesunate        
Hiányzó adat

  Mentions Légales